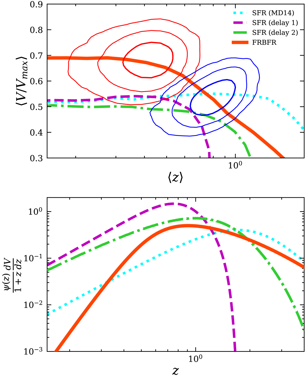
Fig. 4.

Simulated populations obtained from different redshift density distributions ψk(z). Upper panel: ⟨V/Vmax⟩ as function of the average observable redshift. Contours show the ASKAP and Parkes confidence levels assuming α = 1.6 (see Fig. 2). Bottom panel: normalised source rate as function of redshift. Distributions are normalised to their integral.
Current usage metrics show cumulative count of Article Views (full-text article views including HTML views, PDF and ePub downloads, according to the available data) and Abstracts Views on Vision4Press platform.
Data correspond to usage on the plateform after 2015. The current usage metrics is available 48-96 hours after online publication and is updated daily on week days.
Initial download of the metrics may take a while.