Free Access
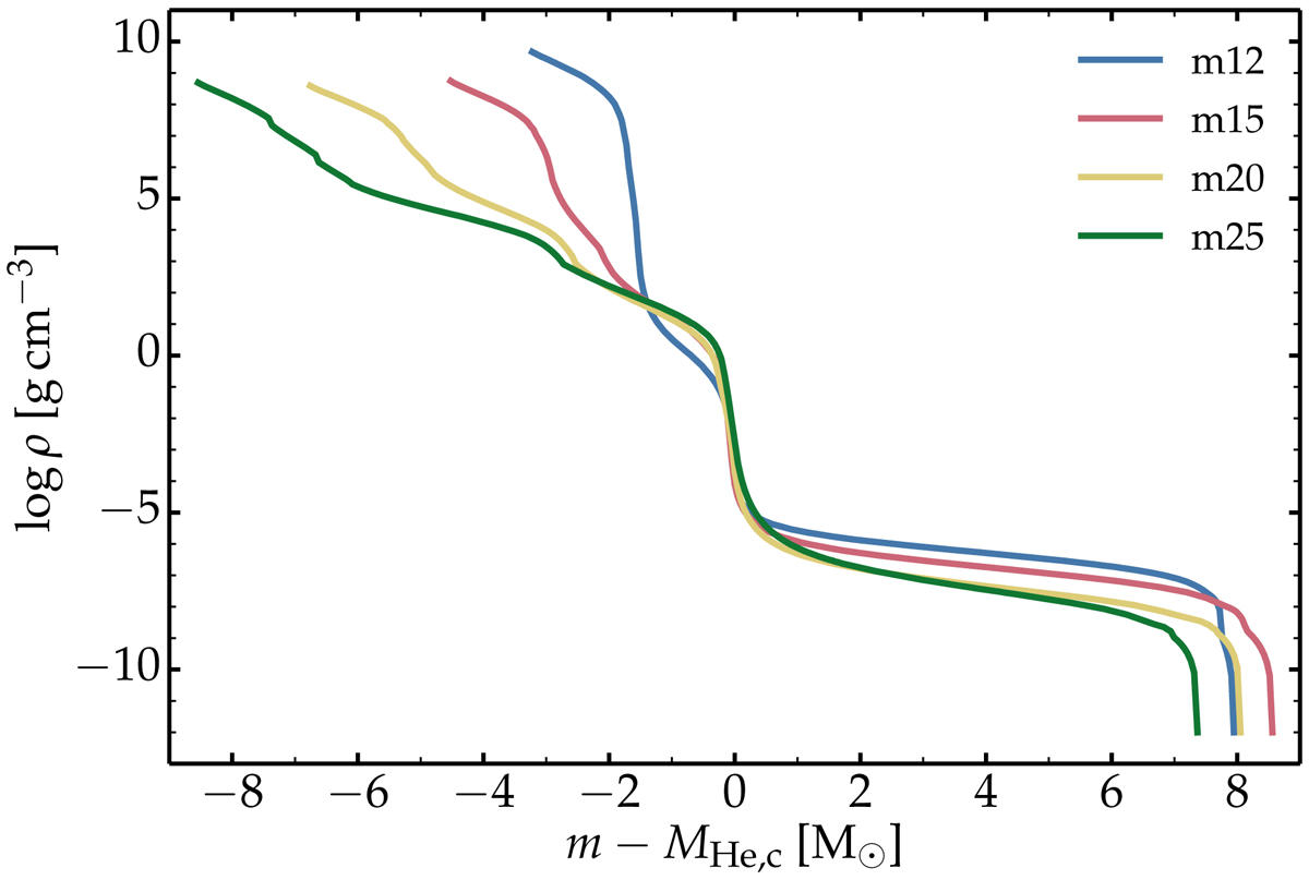
Fig. 2.

Density structure of the models m12, m15, m20, and m25 shown vs. Lagrangian mass (the origin is the outer edge of the He core). The differences in H-rich envelope density reflect the differences in surface radii (see Table 1).
Current usage metrics show cumulative count of Article Views (full-text article views including HTML views, PDF and ePub downloads, according to the available data) and Abstracts Views on Vision4Press platform.
Data correspond to usage on the plateform after 2015. The current usage metrics is available 48-96 hours after online publication and is updated daily on week days.
Initial download of the metrics may take a while.