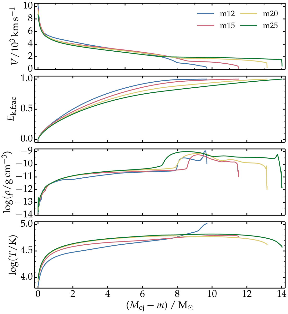
Fig. 3.

Ejecta velocity, fractional kinetic energy Ek, frac, density, and temperature vs. mass at 14 d after the piston trigger. Ek, frac is defined as ∫V2dm/2Ekin, with the integration done inward. The x-axis origin is at the outermost ejecta layer in order to emphasize how similar the properties of the shocked H-rich envelope are in these different progenitor models.
Current usage metrics show cumulative count of Article Views (full-text article views including HTML views, PDF and ePub downloads, according to the available data) and Abstracts Views on Vision4Press platform.
Data correspond to usage on the plateform after 2015. The current usage metrics is available 48-96 hours after online publication and is updated daily on week days.
Initial download of the metrics may take a while.