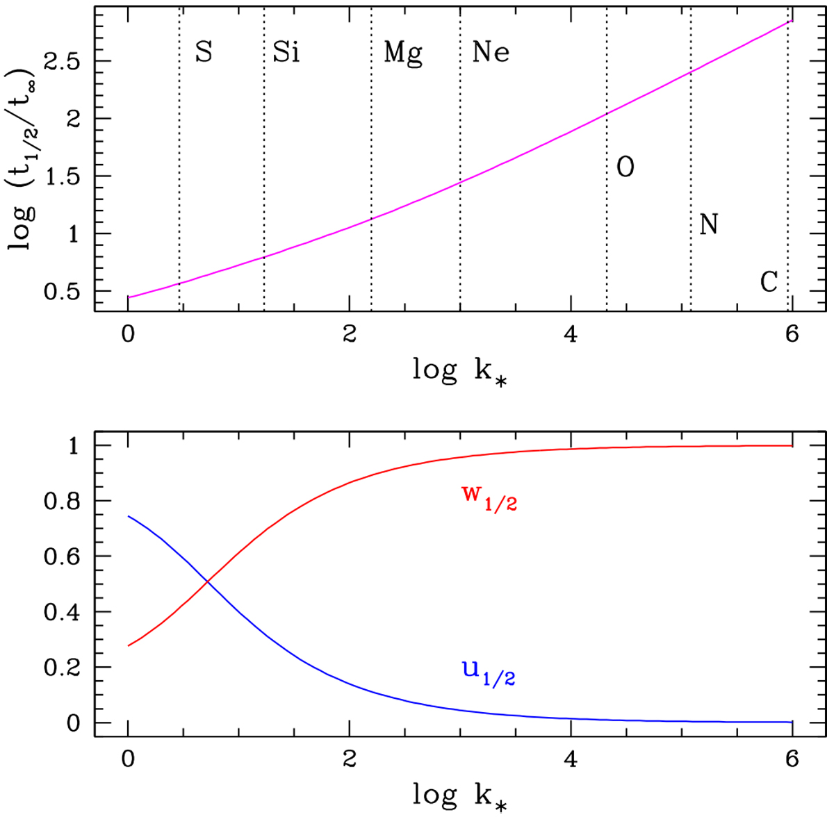
Fig. 1

For anX-ray emitting shell moving through a wind with a β = 1 velocity law, characteristic time, distance, and velocity for which the R = f∕i line ratio changes. Upper panel: characteristic time t1∕2, relative to the wind flow time, t∞. Lower panel:distance and velocity in the wind corresponding to t1∕2. See text for explanation of the vertical lines in the upper panel.
Current usage metrics show cumulative count of Article Views (full-text article views including HTML views, PDF and ePub downloads, according to the available data) and Abstracts Views on Vision4Press platform.
Data correspond to usage on the plateform after 2015. The current usage metrics is available 48-96 hours after online publication and is updated daily on week days.
Initial download of the metrics may take a while.