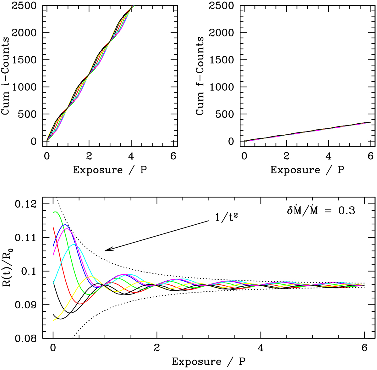
Fig. 5

Effectof exposure time for a hypothetical observation of a He-like triplet. Upper left: cumulative counts in the i-component of the triplet with exposure time, as normalized to the period for variability in the mass-loss rate. Upper right: cumulative counts in the f-component. Bottom: line ratio. The different curves show different phase values, Φ0 (see text). The example depicts δṀ∕Ṁ0 = 0.3 for SiXIII with stellar parameters for ζ Pup. Also shown in the lower panel in dotted line type is a t−2 decay envelope.
Current usage metrics show cumulative count of Article Views (full-text article views including HTML views, PDF and ePub downloads, according to the available data) and Abstracts Views on Vision4Press platform.
Data correspond to usage on the plateform after 2015. The current usage metrics is available 48-96 hours after online publication and is updated daily on week days.
Initial download of the metrics may take a while.