Free Access
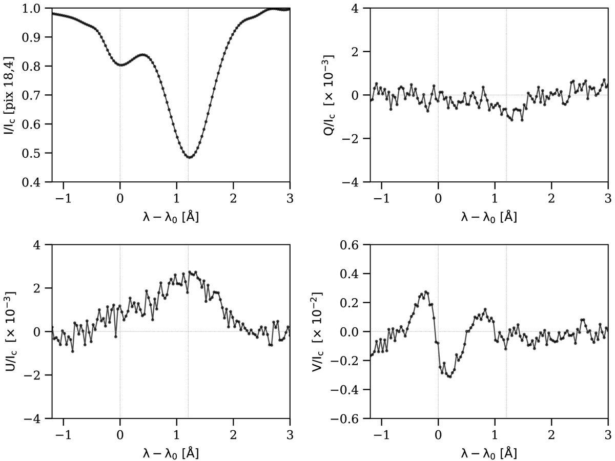
Fig. 7.

Stokes profiles of the pixel [18,4] with very low ratio VR/VB, located in the lower part of Fig. 6. The Stokes V amplitude of the blue component of Stokes V is twice as high as that of the red component, and λ0 is the wavelength of the center of the blue component.
Current usage metrics show cumulative count of Article Views (full-text article views including HTML views, PDF and ePub downloads, according to the available data) and Abstracts Views on Vision4Press platform.
Data correspond to usage on the plateform after 2015. The current usage metrics is available 48-96 hours after online publication and is updated daily on week days.
Initial download of the metrics may take a while.