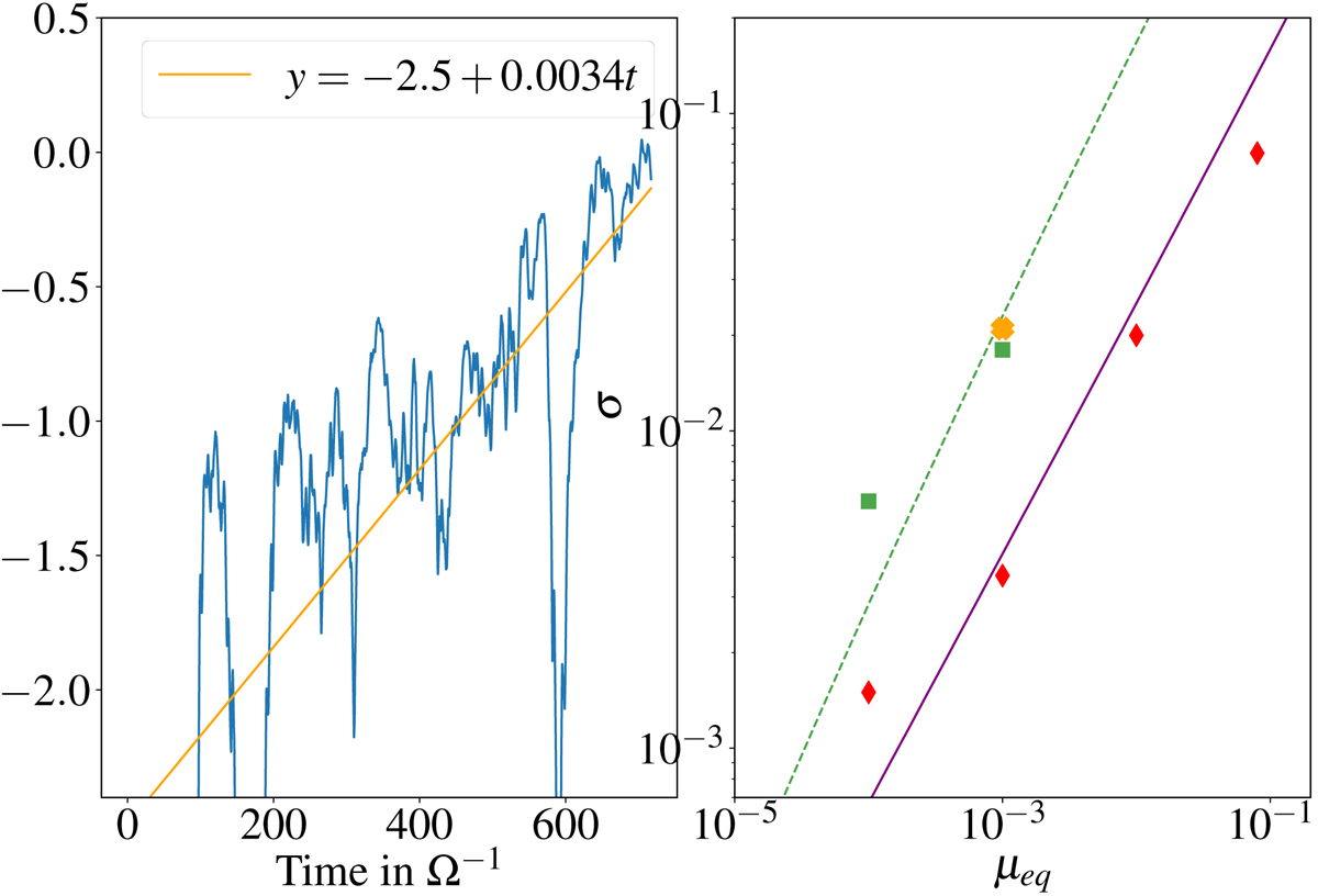
Fig. 13.

Left: time-evolution of , the normalised projection of Bz onto the prominent axisymmetric Fourier mode (kx = 2π/Lx) in the ideal simulation with μeq = 10−3. Right: growth rate of the linear instability as a function of the magnetisation μ. The red diamond markers are measures from 3D ideal simulations. The green and yellow crosses are those measured in resistive and ambipolar runs. The plain lines correspond to model predictions, using similar scaling relations as (17), but with ηt = 0.5αν in the ideal case.
Current usage metrics show cumulative count of Article Views (full-text article views including HTML views, PDF and ePub downloads, according to the available data) and Abstracts Views on Vision4Press platform.
Data correspond to usage on the plateform after 2015. The current usage metrics is available 48-96 hours after online publication and is updated daily on week days.
Initial download of the metrics may take a while.