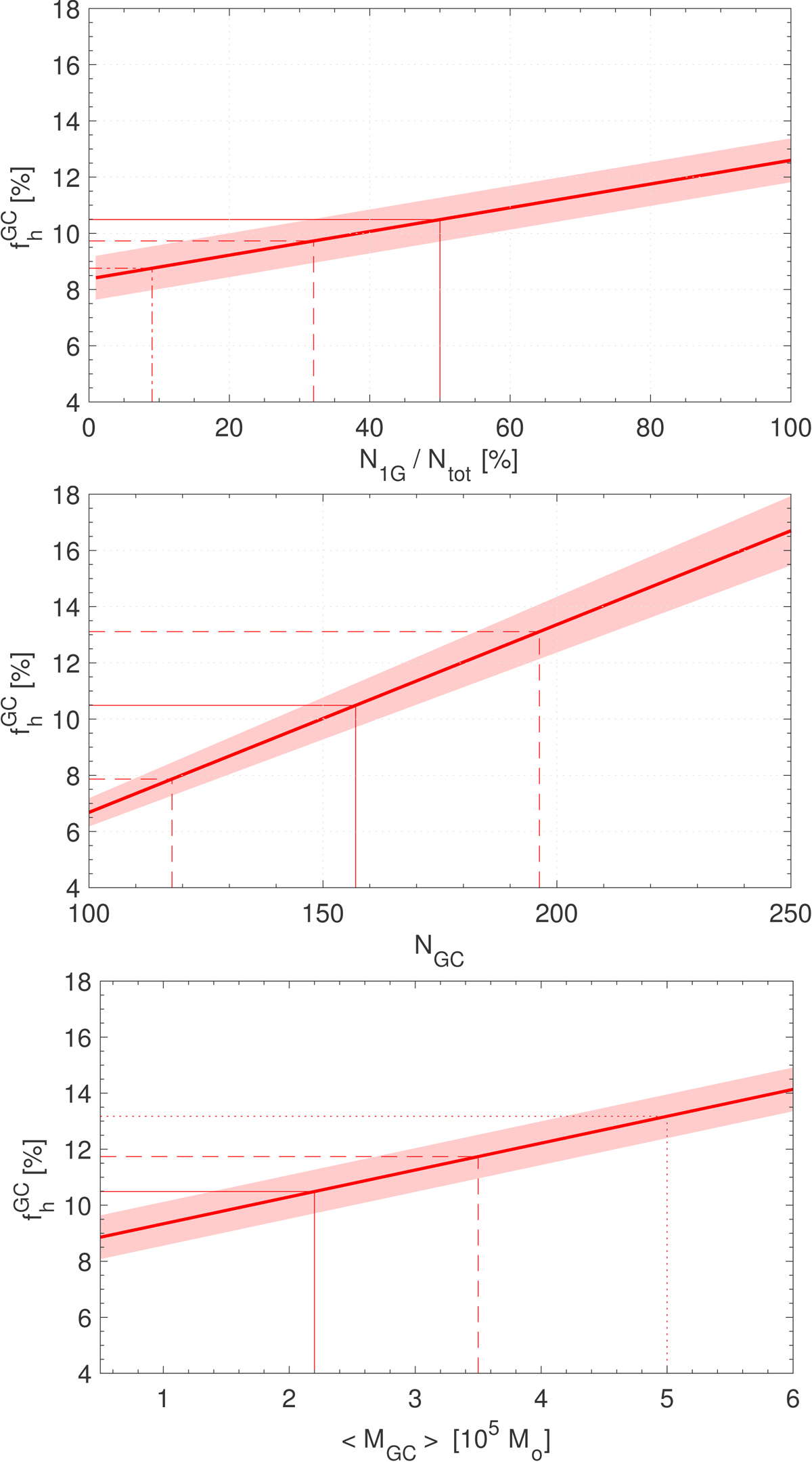
Fig. 9.

Top panel: dependence of the final fraction of donated halo stars on the adopted fraction of first-generation stars. The solid, dashed, and dash-dotted lines are for ratios of 0.5 (Carretta et al. 2009), 0.32 (Bastian & Lardo 2015), and 0.09, the minimum value in the catalog of Milone et al. (2017). This calculation adopted a ratio of an early mass-loss fraction (Sect. 5.1.3) of 56% and an average present-day GC mass of 2.2 × 105 M⊙. Middle panel: influence of the number of present-day GCs in our analysis. Here, the solid line shows the 157 objects in the Harris (1996) catalog, while the dashed lines correspond to a variation by ±25%, e.g., due to selecting only halo GCs. Bottom panel: dependence on the adopted mean present-day GC mass. Red lines show the masses based on the Harris (1996) catalog adopted in this work (solid), the catalog of GC masses from McLaughlin & van der Marel (McLaughlin & van der Marel, dashed), and a mass of 5 × 105 M⊙ (dotted) as adopted by Martell et al. (2011). Here, the calculations adopted a ratio of first- to second-generation stars of 50:50 and an early mass-loss rate of 56%.
Current usage metrics show cumulative count of Article Views (full-text article views including HTML views, PDF and ePub downloads, according to the available data) and Abstracts Views on Vision4Press platform.
Data correspond to usage on the plateform after 2015. The current usage metrics is available 48-96 hours after online publication and is updated daily on week days.
Initial download of the metrics may take a while.