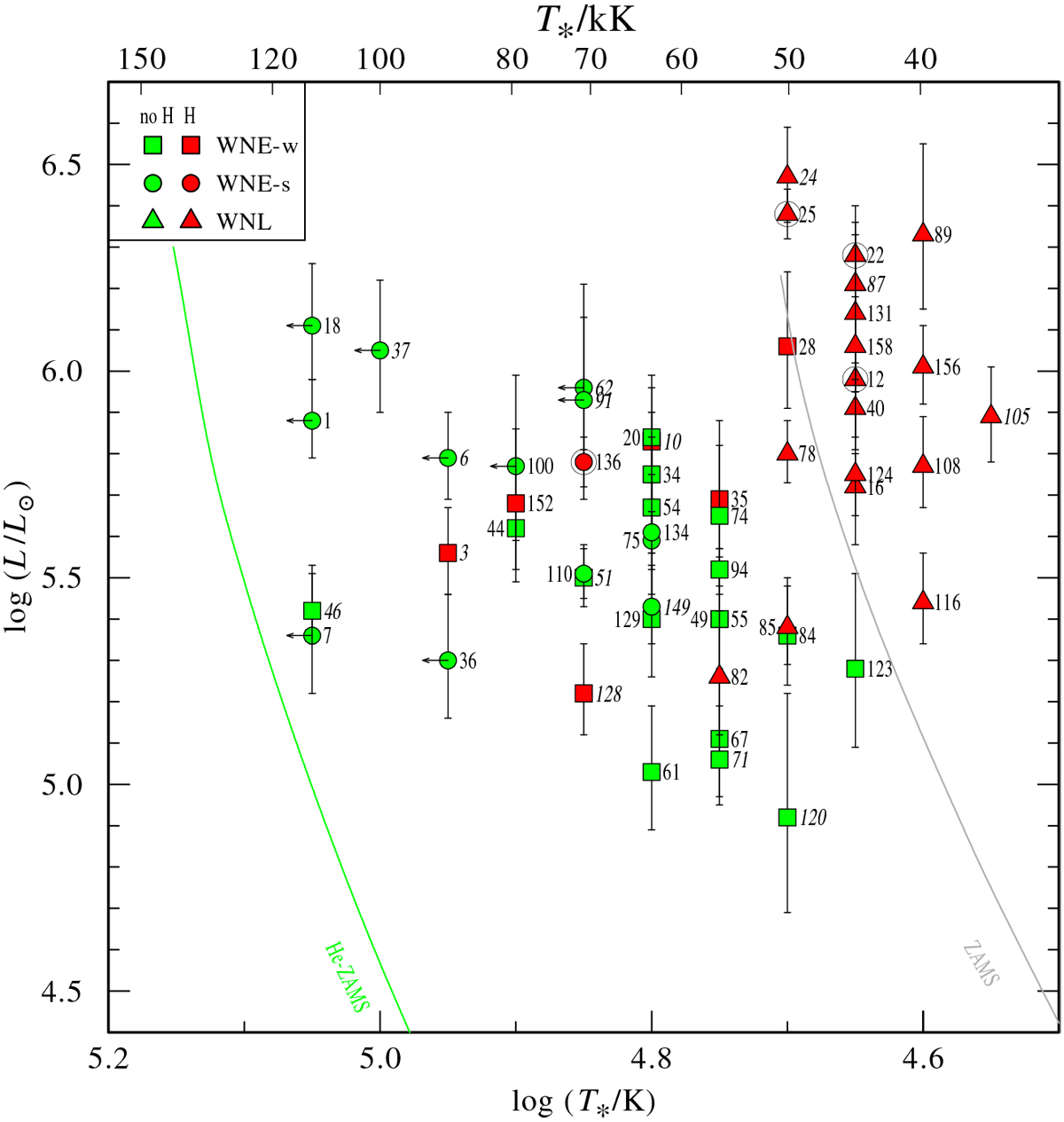
Fig. 4

Hertzsprung–Russell diagram of Galactic WN stars with Gaia parallax. The filling color reflects the surface composition (red: with hydrogen; green: hydrogen-free), while the symbol shape refers to the spectral subtype (see caption of Fig. 2). The binaries and runaways are encircled. The labels refer to the WR catalog numbers; if printed with slantedfont, their Gaia measurement is flagged with a significant astrometric excess noise (see Sect. 3). A little arrow indicates that for this particular star the indicated temperature is only a lower limit, because of the parameter degeneracy discussed in the text (Sect. 5.2). The vertical error bars reflect only the 1σ margin of the Gaia distances. Just for orientation, the ZAMS are indicated for solar composition and for pure helium stars, respectively.
Current usage metrics show cumulative count of Article Views (full-text article views including HTML views, PDF and ePub downloads, according to the available data) and Abstracts Views on Vision4Press platform.
Data correspond to usage on the plateform after 2015. The current usage metrics is available 48-96 hours after online publication and is updated daily on week days.
Initial download of the metrics may take a while.