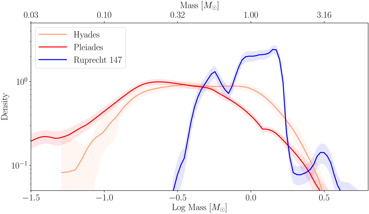
Fig. 13.

Mass distribution of our GDR2 candidate members plus the WDs progenitors as recovered from the COLIBRI isochrone. For comparison, we also show the empirical determination of the mass distribution from: (i) the Pleiades cluster from Bouy et al. (2015b), and (ii) the Hyades cluster from Goldman et al. (2013) for masses above 0.15 M⊙, and Bouvier et al. (2008) for masses below 0.15 M⊙.
Current usage metrics show cumulative count of Article Views (full-text article views including HTML views, PDF and ePub downloads, according to the available data) and Abstracts Views on Vision4Press platform.
Data correspond to usage on the plateform after 2015. The current usage metrics is available 48-96 hours after online publication and is updated daily on week days.
Initial download of the metrics may take a while.