Free Access

Fig. 5.

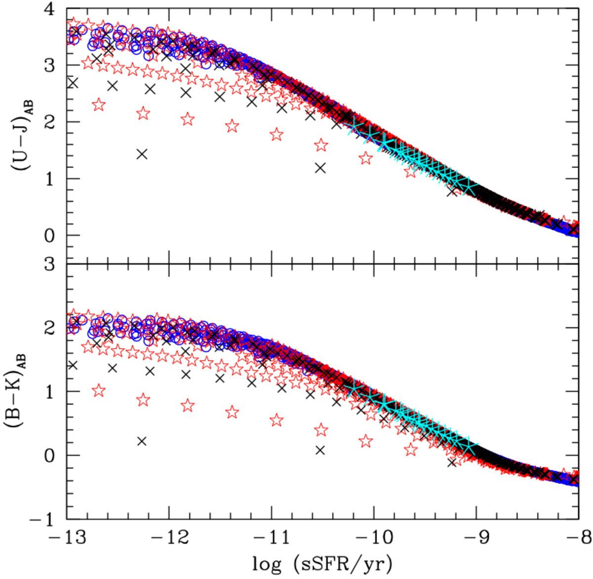
image

Integrated U − J (top) and B − K (bottom) colour as a function of the sSFR of model stellar populations with different SFHs: log-normal (blue circles), exponentially declining (red stars), delayed exponential (black crosses), and inflating SFH (cyan asterisks). There is a close correspondence between the integrated colour and the sSFR, which is largely independent of the SFH law. Solar metallicity BC03 SSP models were used to compute the colours.

Current usage metrics show cumulative count of Article Views (full-text article views including HTML views, PDF and ePub downloads, according to the available data) and Abstracts Views on Vision4Press platform.

Data correspond to usage on the plateform after 2015. The current usage metrics is available 48-96 hours after online publication and is updated daily on week days.

Initial download of the metrics may take a while.