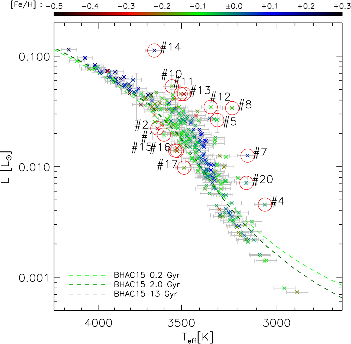
Fig. 10.

Hertzsprung–Russell diagram using L from Sect. 3.1 and Teff from Sect. 3.2. The metallicities are color coded as indicated. For comparison we plot isochrones for 0.2, 2, and 13 Gyr (in increasingly darker green) from BHAC15. Obvious outliers, and stars discussed in reference to this figure in Sect. 5.2, are encircled: #1=Gl 411 (J11033+359), #2=Gl 412A (J11054+435), #4=GJ 1235 (J19216+208), #5=2M J06572616+7405265 (J06574+740), #7=RX J0447.2+2038 (J04472+206), #8=1RXS J050156.7+010845 (J05019+011), #10=G 234-057 (J09133+688), #11=TYC 3529-1437-1 (J18174+483), #12=StKM 2-809 (J12156+526), #13=GJ 9520 (J15218+209), #14=K2-33 (J16102−193), #15=Gl 745A (J19070+208), #16=Gl 745B (J19072+208), #17=Gl 465 (J12248−182), and #20=LP 022-420 (J15499+796). Outliers #12 and #13 lie almost on top of each other. See Fig. A.3 for the same plot but using the pseudo equivalent width of Schöfer et al. (2019) for the color coding. See also Fig. A.4 for a different comparison between the plotted values.
Current usage metrics show cumulative count of Article Views (full-text article views including HTML views, PDF and ePub downloads, according to the available data) and Abstracts Views on Vision4Press platform.
Data correspond to usage on the plateform after 2015. The current usage metrics is available 48-96 hours after online publication and is updated daily on week days.
Initial download of the metrics may take a while.