Free Access
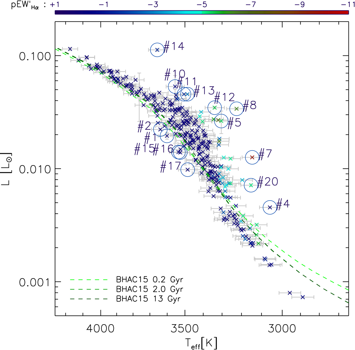
Fig. A.3.

Same as Fig. 10, but using the pseudo equivalent width of Schöfer et al. (2019) for the color coding. Negative values of
denote Hα emission. See Fig. 10 for the identification of the encircled stars.
Current usage metrics show cumulative count of Article Views (full-text article views including HTML views, PDF and ePub downloads, according to the available data) and Abstracts Views on Vision4Press platform.
Data correspond to usage on the plateform after 2015. The current usage metrics is available 48-96 hours after online publication and is updated daily on week days.
Initial download of the metrics may take a while.