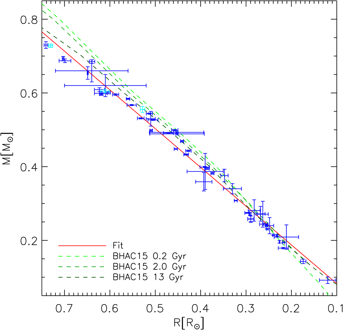
Fig. 4.

Masses and radii for the eclipsing binaries of Table B.2. Blue crosses indicate field stars, while turquoise crosses indicate, from left to right, the low-metallicity globular cluster members NGC 6362 V41 B (Kaluzny et al. 2015), M4 V65 B (Kaluzny et al. 2013), and M55 V54 B (Kaluzny et al. 2014). The red solid line shows our best linear fit. The increasingly darker green dashed lines represent isochrones for 0.2, 2, and 13 Gyr from BHAC15.
Current usage metrics show cumulative count of Article Views (full-text article views including HTML views, PDF and ePub downloads, according to the available data) and Abstracts Views on Vision4Press platform.
Data correspond to usage on the plateform after 2015. The current usage metrics is available 48-96 hours after online publication and is updated daily on week days.
Initial download of the metrics may take a while.