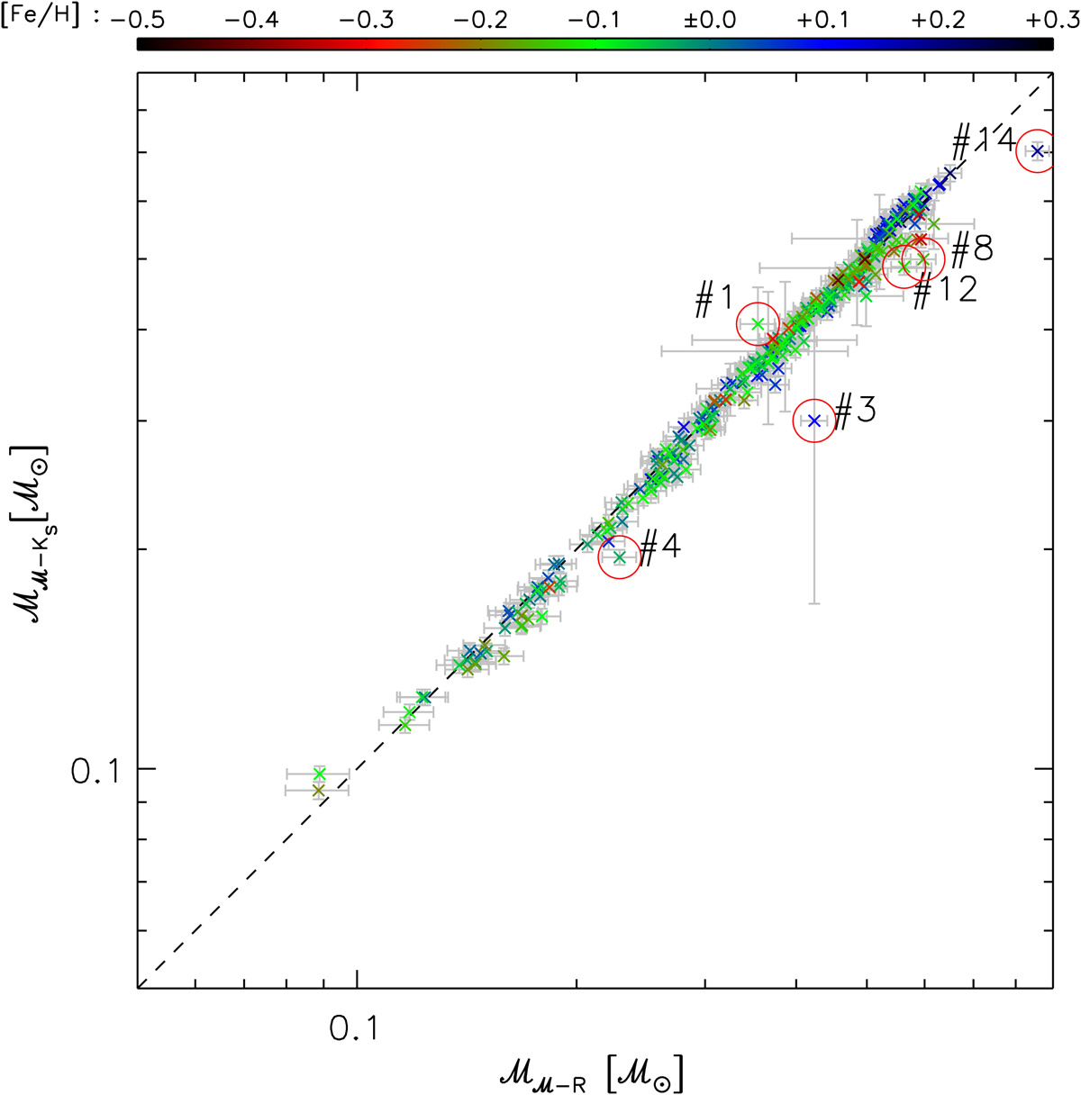
Fig. 8.

Comparison of masses for all stars in Table B.1 using the method from Mann et al. (2019) as described in Sect. 4.2 on the y-axis and the method described in Sect. 3.4 on the x-axis. The metallicities are color coded as indicated. Obvious outliers, and stars discussed in reference to this figure in Sect. 5.2, are encircled: #1=Gl 411 (J11033+359), #3=GJ 4063 (J18346+401), #4=GJ 1235 (J19216+208), #8=1RXS J050156.7+010845 (J05019+011), #12=StKM 2-809 (J12156+526), and #14=K2-33 (J16102−193). See Fig. A.2 for a different comparison between the plotted values.
Current usage metrics show cumulative count of Article Views (full-text article views including HTML views, PDF and ePub downloads, according to the available data) and Abstracts Views on Vision4Press platform.
Data correspond to usage on the plateform after 2015. The current usage metrics is available 48-96 hours after online publication and is updated daily on week days.
Initial download of the metrics may take a while.