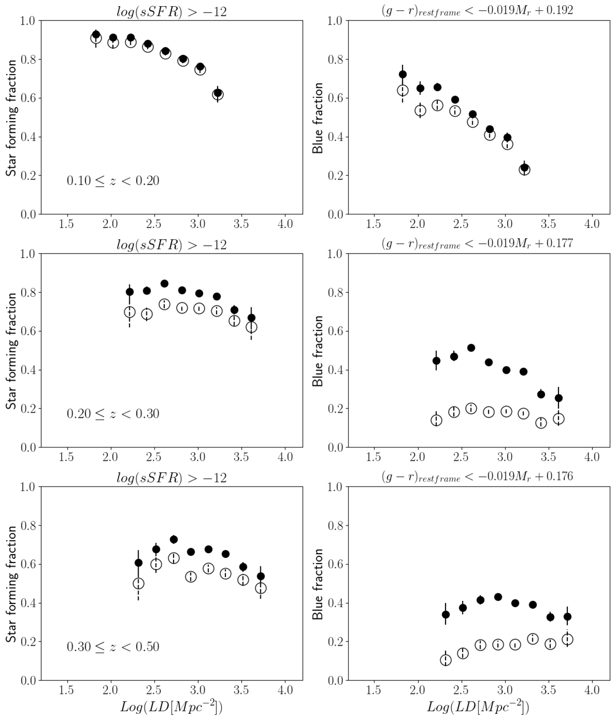
Fig. 10.

Fraction of star-forming galaxies in different bins of LD, computed with the sSFR (left panels) and rest-frame colour (right panels). Three redshift bins from z = 0.1 up to z = 0.5 are represented, and the redshift increases from top to bottom panels as indicated in each panel. A sigma-clipping has been performed on the parent LD distributions to remove outliers and bins with a non-statistically representative number of objects. Panels and symbols are shown as in Fig. 6.
Current usage metrics show cumulative count of Article Views (full-text article views including HTML views, PDF and ePub downloads, according to the available data) and Abstracts Views on Vision4Press platform.
Data correspond to usage on the plateform after 2015. The current usage metrics is available 48-96 hours after online publication and is updated daily on week days.
Initial download of the metrics may take a while.