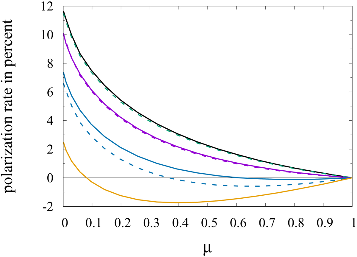
Fig. 2.

Polarization rate in percent. The atmospheric model is an optically thick slab with an unpolarized and uniform primary source and no incident radiation. Dashed lines: perturbation expansion. Solid lines: numerical results calculated with a PALI code based on Nagendra et al. (1999). From top to bottom, Chandrasekhar’s law, log10ϵ = −4, −3, −2, −1. For log10ϵ = −1, only the numerical solution is shown. The Chandrasekhar limit is graphically indistinguishable from the ϵ = 10−4 numerical results.
Current usage metrics show cumulative count of Article Views (full-text article views including HTML views, PDF and ePub downloads, according to the available data) and Abstracts Views on Vision4Press platform.
Data correspond to usage on the plateform after 2015. The current usage metrics is available 48-96 hours after online publication and is updated daily on week days.
Initial download of the metrics may take a while.