Open Access
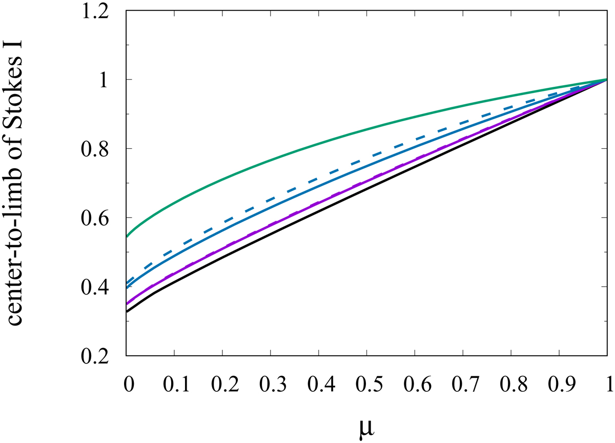
Fig. 4.

Center-to-limb variation of Stokes I. Same atmospheric model as for the other figures. Dashed lines: perturbation expansion. Solid lines: numerical results calculated with a PALI code. From bottom to top, Chandrasekhar’s law, log10ϵ = −3, −2, −1. For log10ϵ = −1, only the numerical solution is shown.
Current usage metrics show cumulative count of Article Views (full-text article views including HTML views, PDF and ePub downloads, according to the available data) and Abstracts Views on Vision4Press platform.
Data correspond to usage on the plateform after 2015. The current usage metrics is available 48-96 hours after online publication and is updated daily on week days.
Initial download of the metrics may take a while.