Open Access

Fig. A.2

image

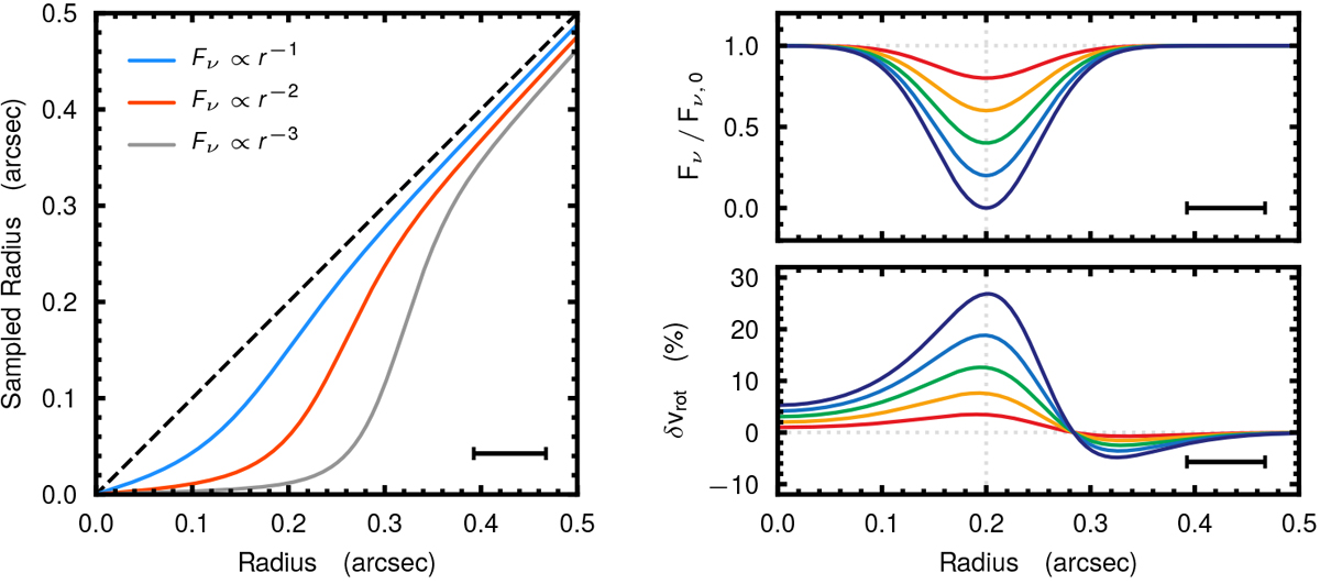
Effect of beam convolution in the presence of intensity gradients on the radial sampling of the rotation velocity. Left panel: deviation of the sampled radius (i.e. the radius within the beam at which the intensity and therefore the weighting of the velocity is highest due to the convolution with the beam) from the real radius in the presence of smooth intensity profiles with different power-law indices. The effect is stronger for steeper intensity profiles. Right panels: effect of beam convolution in the presence of a gap-shaped intensity profile with varying depths (upper right) on the resulting residual rotation curve (bottom right). In both cases, a beam size of 76 mas is assumed, shown by the horizontal black bar.

Current usage metrics show cumulative count of Article Views (full-text article views including HTML views, PDF and ePub downloads, according to the available data) and Abstracts Views on Vision4Press platform.

Data correspond to usage on the plateform after 2015. The current usage metrics is available 48-96 hours after online publication and is updated daily on week days.

Initial download of the metrics may take a while.