Free Access

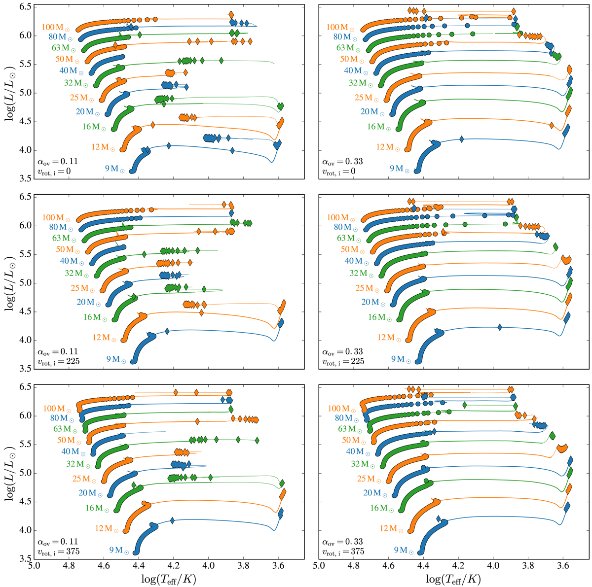
Fig. A.2.

image

As in Fig. 2, but now for various αov and initial rotation velocities (indicated in the bottom left of each panel, in units of km s−1). The models were computed with a relatively high time resolution (see Sect. 2) and with αsc = 1.

Current usage metrics show cumulative count of Article Views (full-text article views including HTML views, PDF and ePub downloads, according to the available data) and Abstracts Views on Vision4Press platform.

Data correspond to usage on the plateform after 2015. The current usage metrics is available 48-96 hours after online publication and is updated daily on week days.

Initial download of the metrics may take a while.