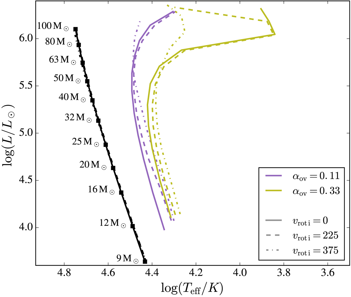
Fig. 3.

Hertzsprung–Russell diagram showing the terminal-age main sequence (TAMS) lines emerging from model grids computed with different combinations of overshooting αov and initial rotation velocity vrot, i (in units of km s−1). The semiconvective mixing efficiency is fixed to αsc = 1, but the TAMS-lines are insensitive to this parameter. The black lines indicate the corresponding zero age main sequences.
Current usage metrics show cumulative count of Article Views (full-text article views including HTML views, PDF and ePub downloads, according to the available data) and Abstracts Views on Vision4Press platform.
Data correspond to usage on the plateform after 2015. The current usage metrics is available 48-96 hours after online publication and is updated daily on week days.
Initial download of the metrics may take a while.