Free Access
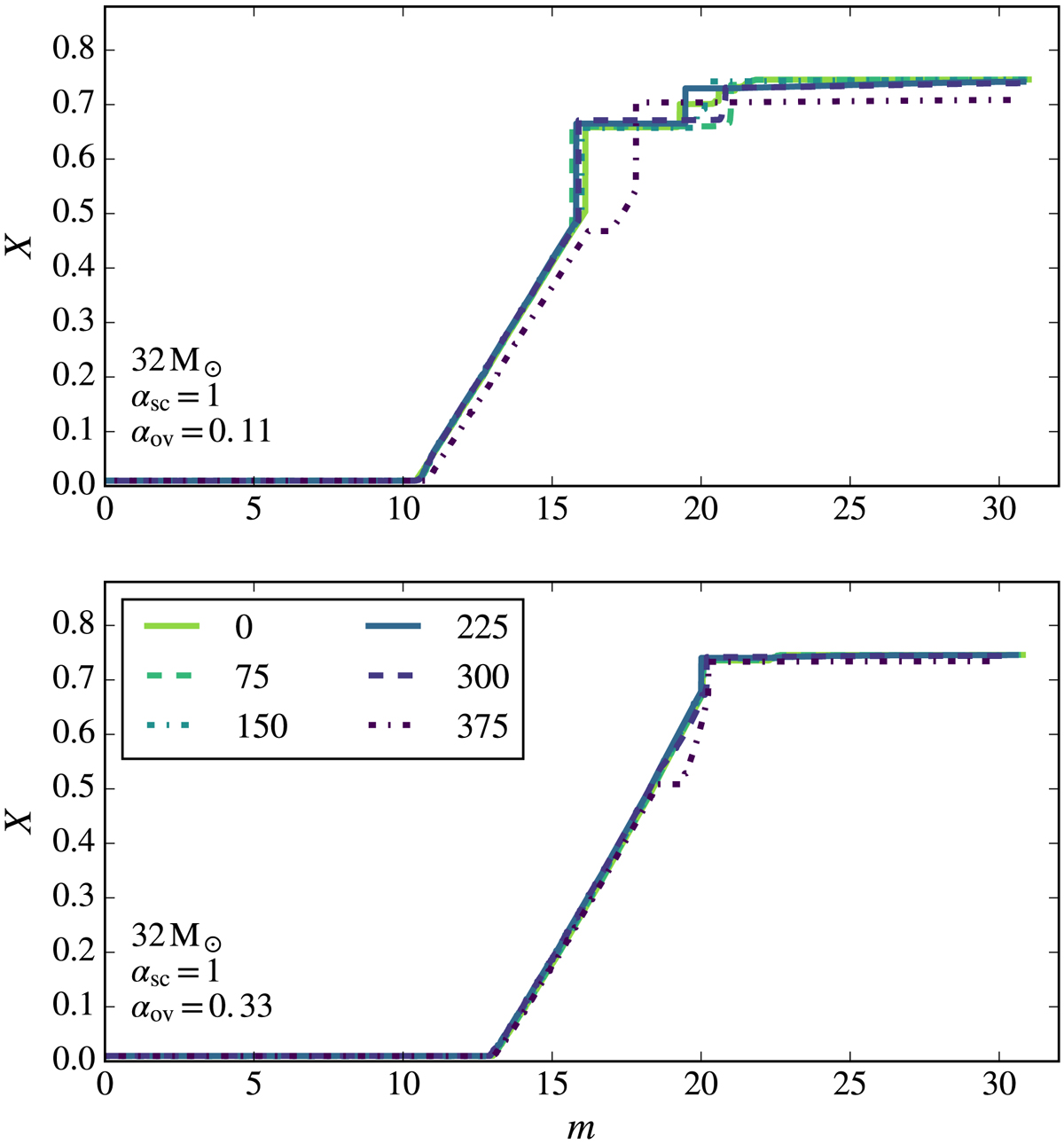
Fig. 8.

Hydrogen profiles of evolutionary models close to core hydrogen exhaustion, for six different initial rotation velocities (given in km s−1 in the legend). Top panel: evolutionary models computed with an overshooting parameter of αov = 0.11, while αov = 0.33 for the models shown in the bottom panel.
Current usage metrics show cumulative count of Article Views (full-text article views including HTML views, PDF and ePub downloads, according to the available data) and Abstracts Views on Vision4Press platform.
Data correspond to usage on the plateform after 2015. The current usage metrics is available 48-96 hours after online publication and is updated daily on week days.
Initial download of the metrics may take a while.