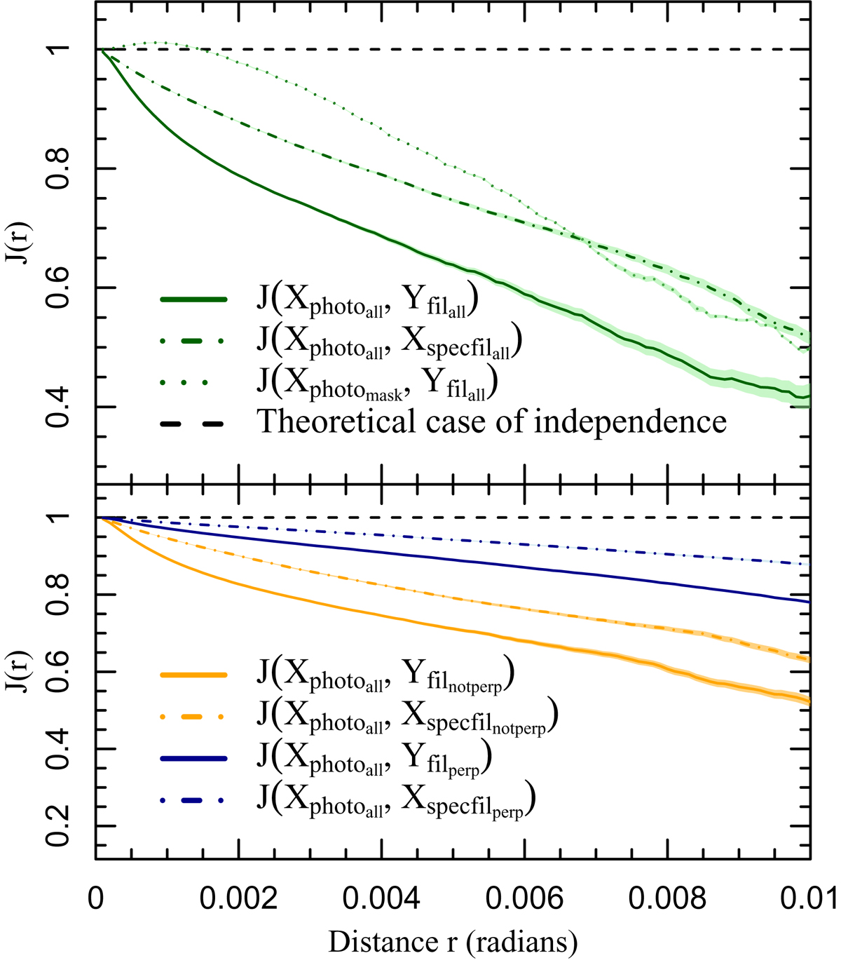
Fig. 6.

Upper panel: result of the bivariate J-functions J(r)Xphotoall, Yfilall (continuous green line), J(r)Xphoto, Xspecfilall (dashed green line), and J(r)Xphotomask, Yfilall (dotted green line) in comparison with the theoretical reference case representing independence between the studied sets (black dashed line). Lower panel: result of the bivariate J-functions J(r)Xphotoall, Yfilperp (blue), J(r)Xphoto, Xspecfilperp (dashed blue), J(r)Xphoto, Xfilnotperp (orange), and J(r)Xphoto, Xspecfilnotperp (dashed orange) in comparison with the theoretical reference case representing independence between the studied sets (black dashed line).
Current usage metrics show cumulative count of Article Views (full-text article views including HTML views, PDF and ePub downloads, according to the available data) and Abstracts Views on Vision4Press platform.
Data correspond to usage on the plateform after 2015. The current usage metrics is available 48-96 hours after online publication and is updated daily on week days.
Initial download of the metrics may take a while.