Open Access
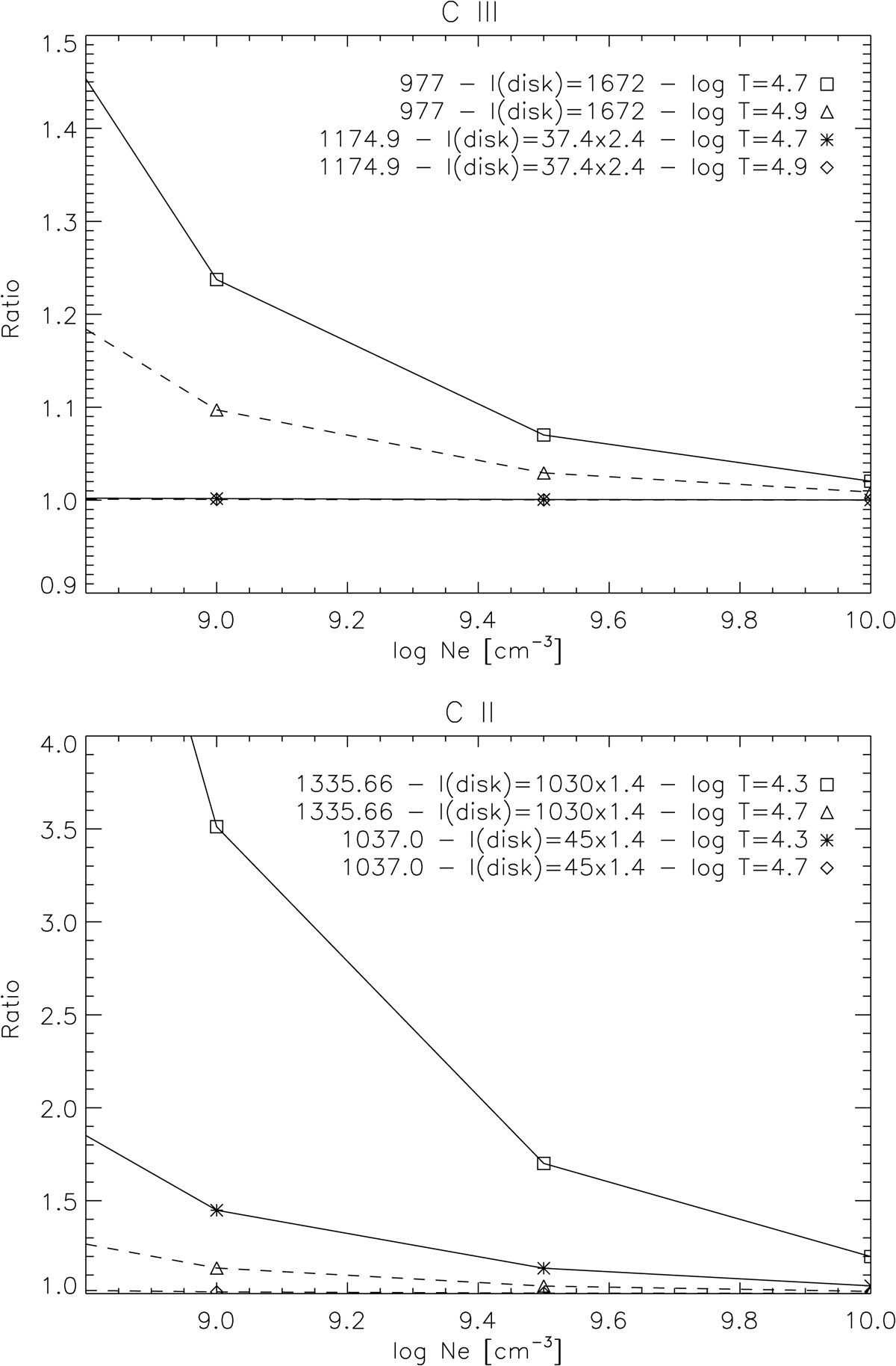
Fig. 6.

Top: ratio of the total emissivity (including photo-excitation) vs. the values without photo-excitation, for a range of densities and two values of the temperature, for two C III lines. Bottom: same as top panel, but for two C II lines, at 1037.01 Å and 1335.66 Å.
Current usage metrics show cumulative count of Article Views (full-text article views including HTML views, PDF and ePub downloads, according to the available data) and Abstracts Views on Vision4Press platform.
Data correspond to usage on the plateform after 2015. The current usage metrics is available 48-96 hours after online publication and is updated daily on week days.
Initial download of the metrics may take a while.