Free Access

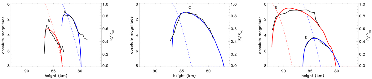
Fig. 7

image

Examples of light curves of meteors with iron spectra. The observed light curves are black, the theoretical ones are red or blue. The dashed curves represent the radius R of the meteoroid divided by its initial value R. The letters A–E represents the class of the observed light curve (see the text). Here A is meteor 09820028 from Kunžak station, B is meteor 03802071 from Ondřejov station, C is meteor 08505008 from Kunžak station, D is meteor 03504018 from Ondřejov station, and E is meteor 12815084 from Kunžak station.

Current usage metrics show cumulative count of Article Views (full-text article views including HTML views, PDF and ePub downloads, according to the available data) and Abstracts Views on Vision4Press platform.

Data correspond to usage on the plateform after 2015. The current usage metrics is available 48-96 hours after online publication and is updated daily on week days.

Initial download of the metrics may take a while.