Free Access
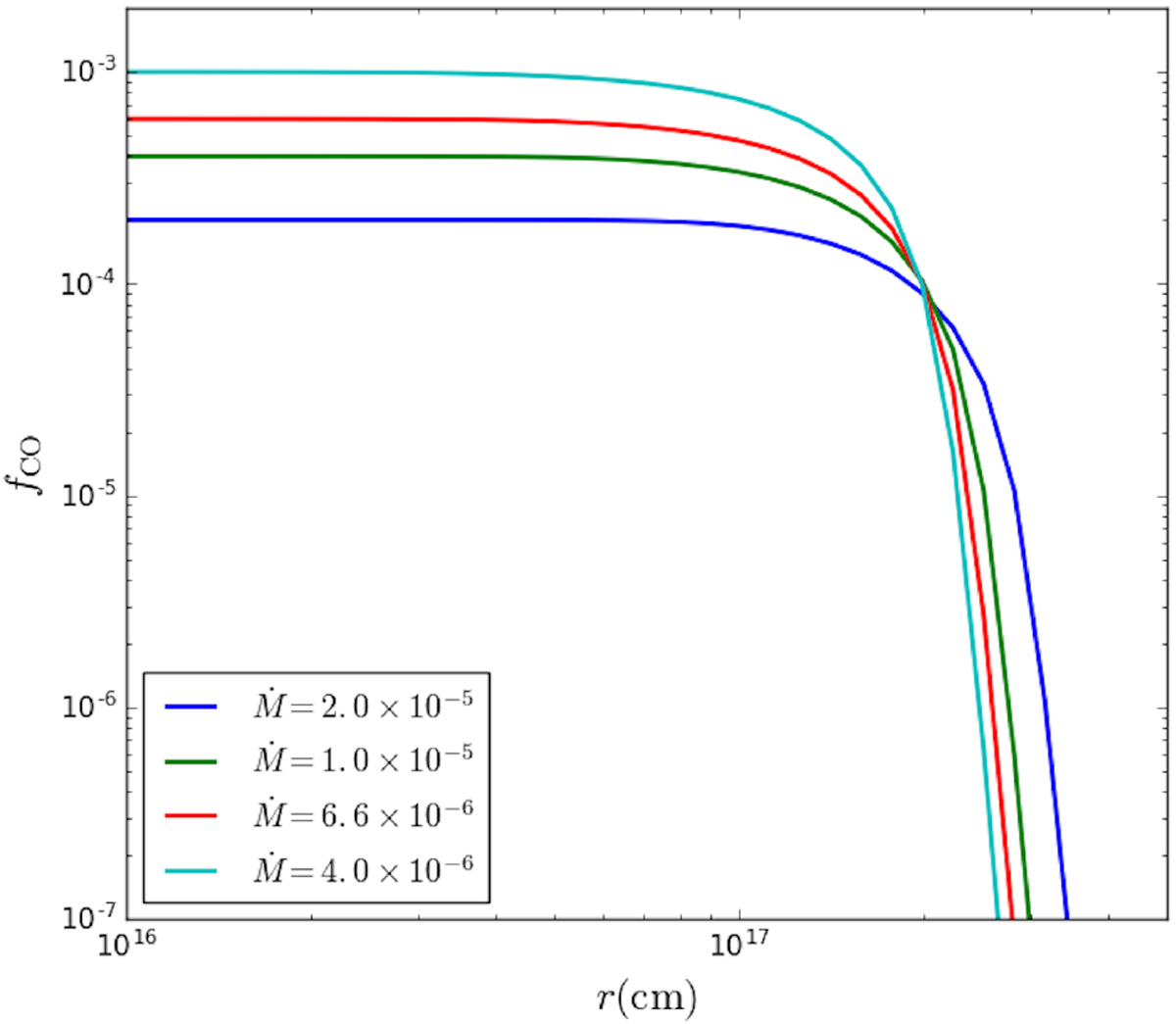
Fig. 2

CO fractional abundance distributions for models with a constant expansion velocity Vexp = 15 (km s−1) and various Ṁ (M⊙ yr−1) and fCO in a way to keep the same amount of effective CO for all models.
Current usage metrics show cumulative count of Article Views (full-text article views including HTML views, PDF and ePub downloads, according to the available data) and Abstracts Views on Vision4Press platform.
Data correspond to usage on the plateform after 2015. The current usage metrics is available 48-96 hours after online publication and is updated daily on week days.
Initial download of the metrics may take a while.