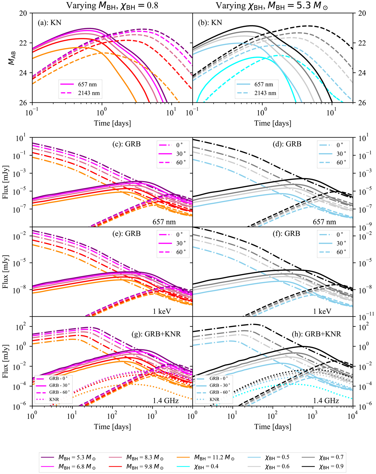
Fig. 6.

Example light curves for constant χBH – varying MBH (left columns) and constant MBH – varying χBH (right columns). Panels a and b: KN r-band (657 nm, filled lines) and K-band (2143 nm, dashed lines) light curves. Panels c–h: GRB afterglow optical (panels c and d), X-ray (panels e and f), and radio (panels g and h) light curves for three viewing angles (0° dot-dashed lines, 30° filled lines, and 60° dashed lines). The KNR (dotted lines) is also shown in panels g and h.
Current usage metrics show cumulative count of Article Views (full-text article views including HTML views, PDF and ePub downloads, according to the available data) and Abstracts Views on Vision4Press platform.
Data correspond to usage on the plateform after 2015. The current usage metrics is available 48-96 hours after online publication and is updated daily on week days.
Initial download of the metrics may take a while.