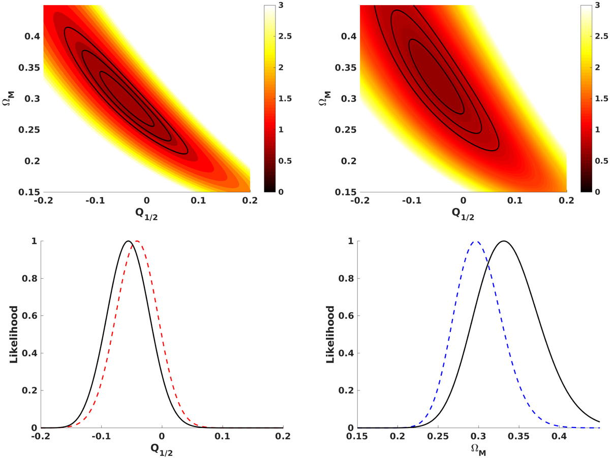
Fig. 3.

Current constraints for the n = 1/2 case, using Q1/2 as free parameter. Top panels: black solid curves show the one, two, and three sigma confidence levels in the two-dimensional plane, while the color map depicts the reduced chi-square; the left panel indicates the case of a fixed H0, while in the right panel it has been analytically marginalized. Bottom panels: one-dimensional posterior likelihoods for both parameters; the dashed lines correspond to the fixed H0 and the solid lines to the marginalized case.
Current usage metrics show cumulative count of Article Views (full-text article views including HTML views, PDF and ePub downloads, according to the available data) and Abstracts Views on Vision4Press platform.
Data correspond to usage on the plateform after 2015. The current usage metrics is available 48-96 hours after online publication and is updated daily on week days.
Initial download of the metrics may take a while.