Open Access

Fig. 2.

image

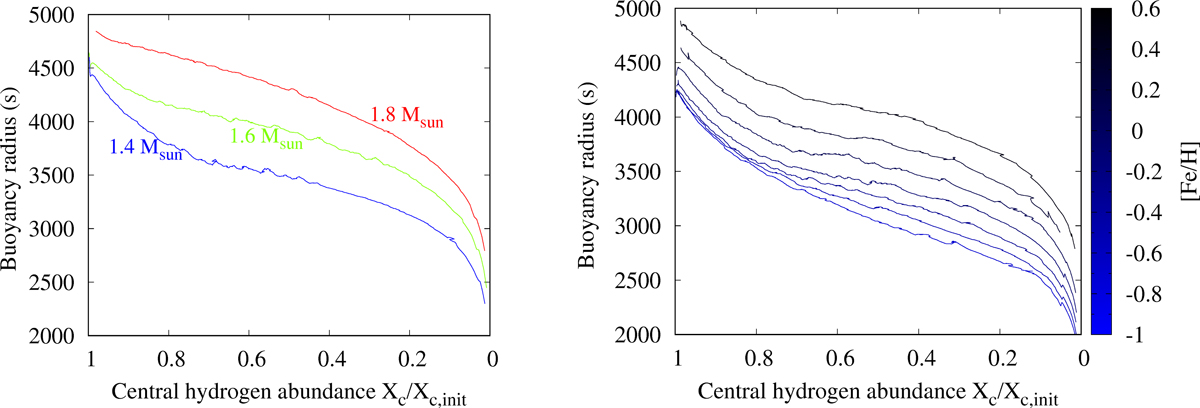
Buoyancy radius as a function of central hydrogen abundance Xc (relative to the initial Xc) along main-sequence evolution. Left: for three different masses typical of γ Dor: 1.4 in blue, 1.6 in green and 1.8 M in red, same metallicity [M/H] = 0.1. The colour coding is the same as in Fig. 1. Right: for a 1.4 M model, with varying metalicities from [M/H] = −0.9 to 0.5, with increments of 0.2 dex. The Xc/Xc, init axis has been inverted to emphasize the behaviour with evolution. The models were computed with disc locking during 5 Myrs, to a disc rotating with a period of 7.2 days.

Current usage metrics show cumulative count of Article Views (full-text article views including HTML views, PDF and ePub downloads, according to the available data) and Abstracts Views on Vision4Press platform.

Data correspond to usage on the plateform after 2015. The current usage metrics is available 48-96 hours after online publication and is updated daily on week days.

Initial download of the metrics may take a while.