Free Access

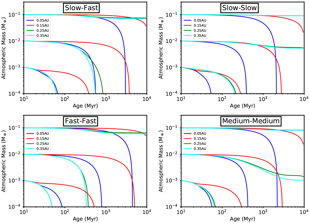
Fig. 8

image

Evolutionary tracks of the atmospheric mass for Earth mass planets with hydrogen atmospheres orbiting tidally interacting solar mass stars. Each line shows a different case, with the three sets of lines on each panel showing cases with different initial (10 Myr) atmospheric masses, the different colours representing different initial orbital separations of the two stars, and the two panels showing the tracks with different initial rotation rates of the two stars. Left panel: our Case 2, where both stars start as slow rotators. Right panel: our Case 3, where both stars start as fast rotators.

Current usage metrics show cumulative count of Article Views (full-text article views including HTML views, PDF and ePub downloads, according to the available data) and Abstracts Views on Vision4Press platform.

Data correspond to usage on the plateform after 2015. The current usage metrics is available 48-96 hours after online publication and is updated daily on week days.

Initial download of the metrics may take a while.