Open Access

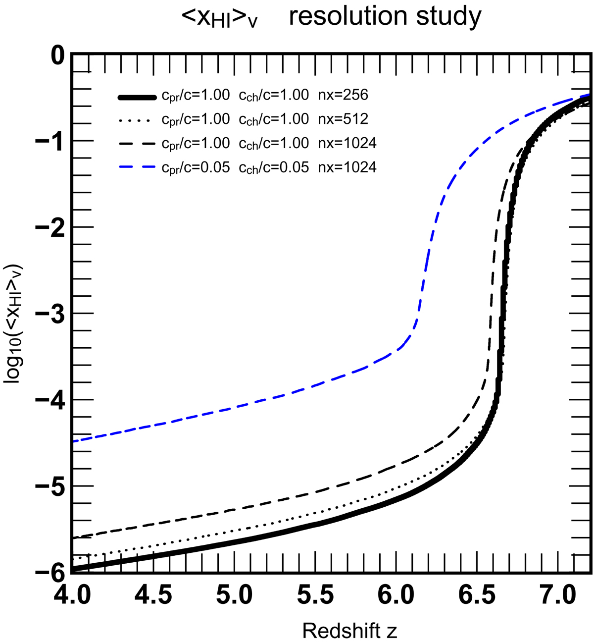
Fig. 7.

image

Reionization histories of 4 h−1 Mpc boxes simulations with spatial resolutions of 1,2, and 4 times our fiducial resolution. The fiducial run is shown as a thick black line. All runs were calibrated so as to reach xHI = 0.5 between z = 6 and z = 7. The detailed properties of these simulations are listed in Table 1.

Current usage metrics show cumulative count of Article Views (full-text article views including HTML views, PDF and ePub downloads, according to the available data) and Abstracts Views on Vision4Press platform.

Data correspond to usage on the plateform after 2015. The current usage metrics is available 48-96 hours after online publication and is updated daily on week days.

Initial download of the metrics may take a while.