Open Access

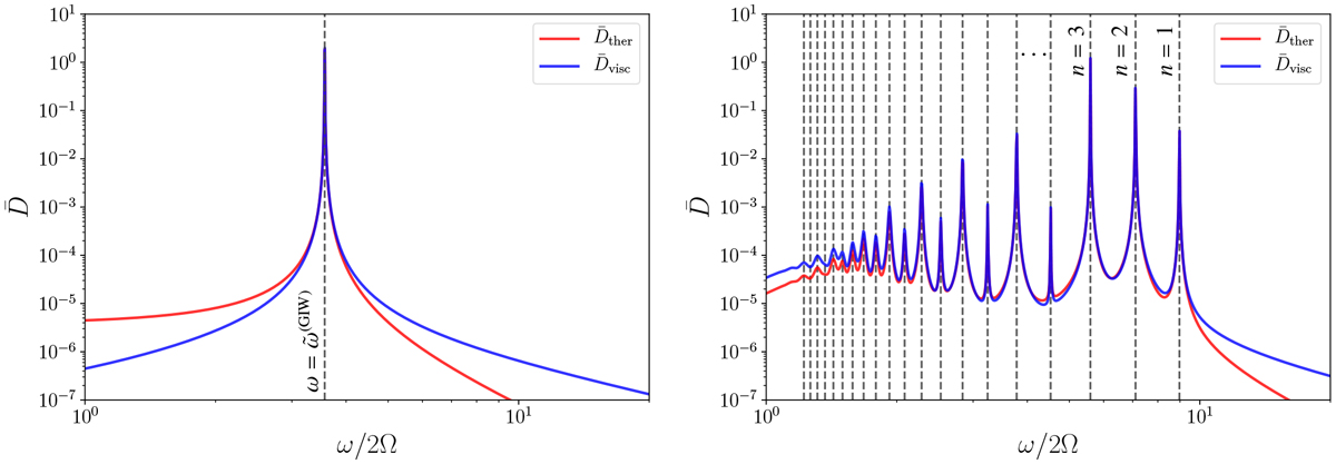
Fig. 3

image

Viscous (in blue) and thermal (in red) dissipation spectra in a uniformly stably stratified medium with throughout the domain in the case of periodic (left) and rigid (right) boundary conditions. Left panel: resonant peak centred on the single gravito-inertial mode that is resonant with the forcing, with frequency given by Eq. (40). Right panel: rigid boundary conditions do not perfectly excite only a single global mode, they instead excite many modes that match the roots of the dispersion relation of gravito-inertial waves when kz = , for n = {1, …20}.

Current usage metrics show cumulative count of Article Views (full-text article views including HTML views, PDF and ePub downloads, according to the available data) and Abstracts Views on Vision4Press platform.

Data correspond to usage on the plateform after 2015. The current usage metrics is available 48-96 hours after online publication and is updated daily on week days.

Initial download of the metrics may take a while.