Open Access

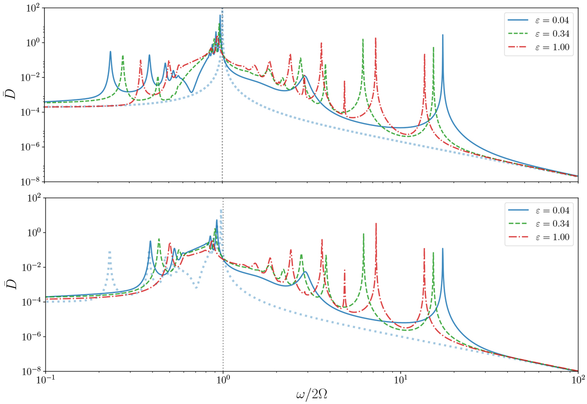
Fig. 7

image

Dissipation spectra obtained with m = 1 step for the different aspect ratios ε = 0.04 (solid blue line), 0.34 (green dashed line), and 1.00 (red dash-dotted line) and E = K = 10−5, using vertically periodic boundary conditions (top) and vertically rigid boundary conditions (bottom). For comparison, the dotted light blue line corresponds to the case of a fully convective medium.

Current usage metrics show cumulative count of Article Views (full-text article views including HTML views, PDF and ePub downloads, according to the available data) and Abstracts Views on Vision4Press platform.

Data correspond to usage on the plateform after 2015. The current usage metrics is available 48-96 hours after online publication and is updated daily on week days.

Initial download of the metrics may take a while.