Free Access

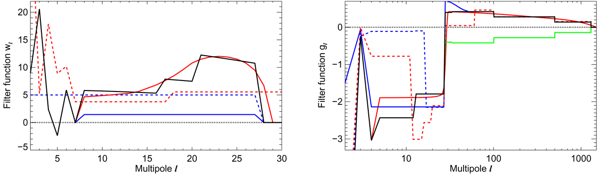
Fig. 2.

image

Filter functions w (left) and g (right) used in our toy model. For g, all filters except the blue filter have g = −8 for ℓ = 2, which is not shown in order to make the filters more visible for all other multipoles. The black lines show the filters that form the basis for the majority of results presented in the paper. The coloured filters are equal to the black filter for multipoles where the coloured filters are not visible. Red line: a smoother version of the main filter; green line: similar to the black filter but slightly simpler with no change of sign in g; blue dashed line: highly simplified w; red dashed line: the alternative model which filters the squared Gaussian map; blue line: filter used for the model with Gaussian white noise maps.

Current usage metrics show cumulative count of Article Views (full-text article views including HTML views, PDF and ePub downloads, according to the available data) and Abstracts Views on Vision4Press platform.

Data correspond to usage on the plateform after 2015. The current usage metrics is available 48-96 hours after online publication and is updated daily on week days.

Initial download of the metrics may take a while.