Free Access

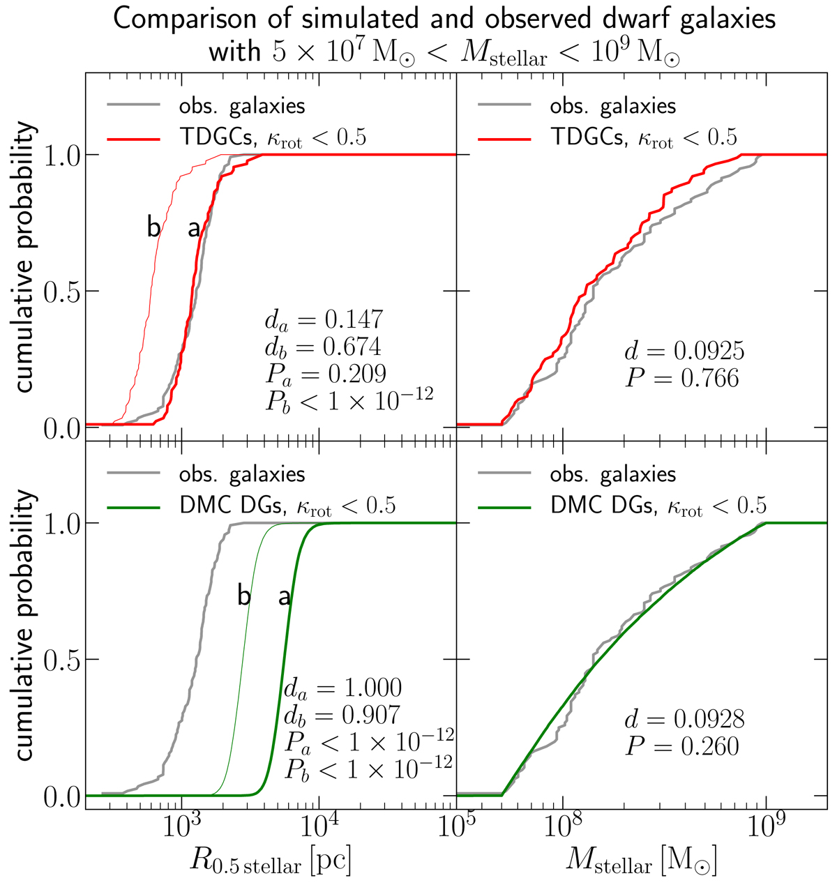
Fig. 15.

image

KS test for observed late-type galaxies (gray) and dispersion-dominated (κrot <  0.5) simulated (red, green) DGs with stellar masses between 5 × 107M and 109M. The thick lines and the displayed da- and Pa-values refer to the real stellar half-mass radius distribution of the Illustris-1 simulation. The thin lines and the db- and Pb-values refer to a distribution in which all radii in the Illustris-1 simulation are divided by two (see text). The observational data are a subset of the catalog from Dabringhausen & Fellhauer (2016) including all galaxies from the Fornax, Hydra, and Centaurus cluster catalog with stellar masses between 5 × 107M and 109M.

Current usage metrics show cumulative count of Article Views (full-text article views including HTML views, PDF and ePub downloads, according to the available data) and Abstracts Views on Vision4Press platform.

Data correspond to usage on the plateform after 2015. The current usage metrics is available 48-96 hours after online publication and is updated daily on week days.

Initial download of the metrics may take a while.