Free Access

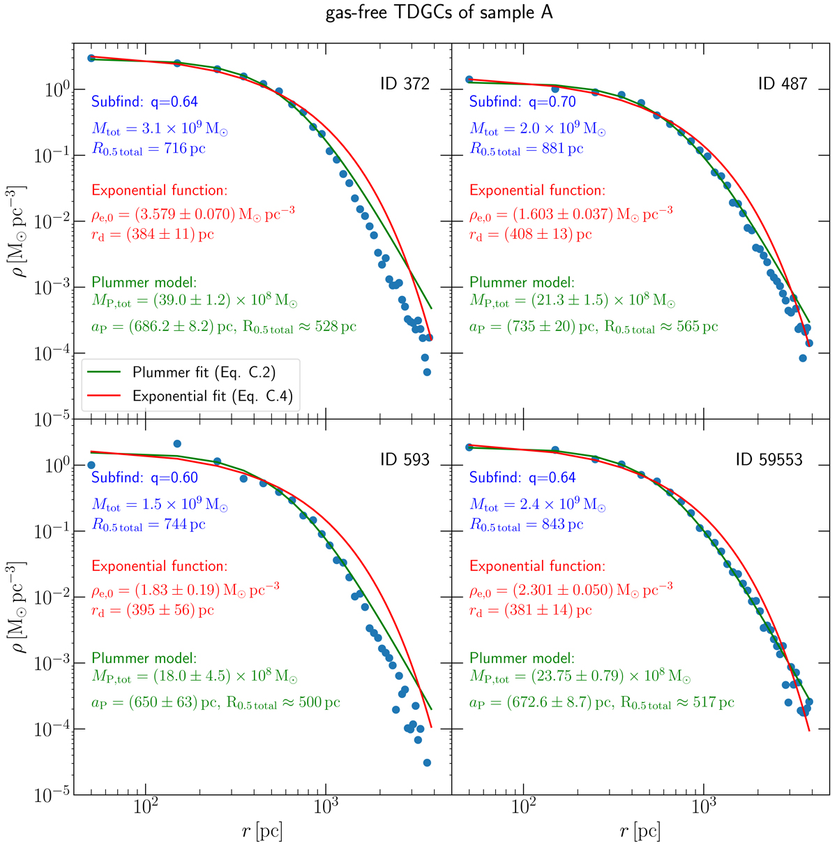
Fig. C.2.

image

Radial density distributions of four selected gas-free TDGCs of sample A (IDs 372, 487, 593, and 59553) fitted with a Plummer model (green; Eq. (C.2)) and an exponential function (red; Eq. (C.4)). The radial bins have a width of 100 pc. The identification number, ID, their corresponding virial ratios, q (Eq. (C.1)), their total masses and stellar half-mass radii obtained from the Subfind algorithm, and their fitting parameters are given in the panels. According to the particles identified by the Subfind algorithm, the TDGCs shown here are not fully in virial equilibrium. The rotation curves and 3D velocity dispersion of the TDGCs discussed here are shown in Fig. C.3 and Fig. C.4.

Current usage metrics show cumulative count of Article Views (full-text article views including HTML views, PDF and ePub downloads, according to the available data) and Abstracts Views on Vision4Press platform.

Data correspond to usage on the plateform after 2015. The current usage metrics is available 48-96 hours after online publication and is updated daily on week days.

Initial download of the metrics may take a while.