Free Access

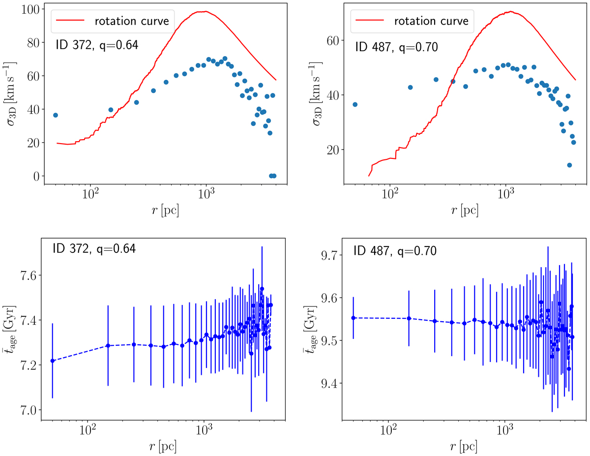
Fig. C.3.

image

Rotation curves and radial 3D velocity dispersion distributions (top), and the radial distribution of stellar particle ages (bottom) of gas-free TDGCs of sample A with the ID 372 and ID 487. The radial bins have a width of 100 pc. The error bars in the bottom panels correspond to the standard deviation of the stellar particle age within a radial bin. The identification number, ID, and their corresponding virial ratios, q (Eq. (C.1)), are given in the panels. The radial density distributions of the TDGCs discussed here are shown in Fig. C.2.

Current usage metrics show cumulative count of Article Views (full-text article views including HTML views, PDF and ePub downloads, according to the available data) and Abstracts Views on Vision4Press platform.

Data correspond to usage on the plateform after 2015. The current usage metrics is available 48-96 hours after online publication and is updated daily on week days.

Initial download of the metrics may take a while.