Free Access

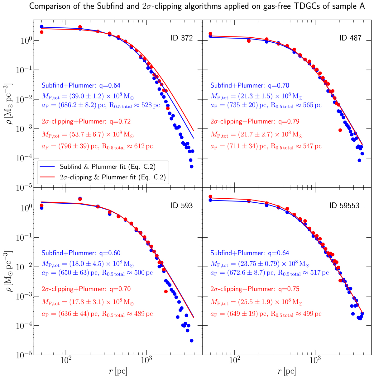
Fig. C.8.

image

Radial density distributions of four selected gas-free TDGCs of sample A (IDs 372, 487, 593, and 59553) calculated by the particles identified by the Subfind (blue) and σ-clipping (η = 2 and δ = 0.01; red) algorithms and fitted with a Plummer model (Eq. (C.2)). The radial bins have a width of 100 pc. The identification number, ID, their corresponding virial ratios, q (Eq. (C.1)), and their fitting parameters are given in the panels. The kinetic and potential energy for the Subfind algorithm are taken form Zjupa & Springel (2017) and the calculation for the potential energy using particles identified by σ-clipping assumes a fixed softening length in Eq. (C.11). We note that q is computed solely for the particles selected using Subfind or 2σ-clipping.

Current usage metrics show cumulative count of Article Views (full-text article views including HTML views, PDF and ePub downloads, according to the available data) and Abstracts Views on Vision4Press platform.

Data correspond to usage on the plateform after 2015. The current usage metrics is available 48-96 hours after online publication and is updated daily on week days.

Initial download of the metrics may take a while.