Free Access

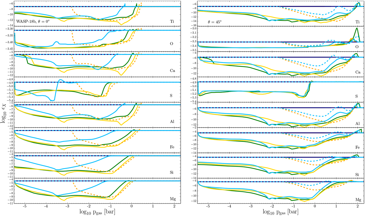
Fig. 7

image

Abundances, ɛx, of the elements that are involved in cloud formation for the equatorial (left, θ = 0°) and the northern hemisphere (right, θ = 45°) profiles of WASP-18b. The colour code for the atmospheric profiles is the same as in Fig. 6 and all figures throughout the paper. The day-to nightside terminators are depicted as dashed lines. Straight lines indicate no element depletion for these longitudes. Cloud formation mostly causes element depletion. Element enrichment occurs where cloud particles evaporate, most noticeable for ɛO. The element abundances change due to cloud formation throughout the atmosphere and across the globe. The clouds affect the element abundances over a larger pressure range at the northern (southern) hemisphere than at the equatorial region.

Current usage metrics show cumulative count of Article Views (full-text article views including HTML views, PDF and ePub downloads, according to the available data) and Abstracts Views on Vision4Press platform.

Data correspond to usage on the plateform after 2015. The current usage metrics is available 48-96 hours after online publication and is updated daily on week days.

Initial download of the metrics may take a while.