Free Access

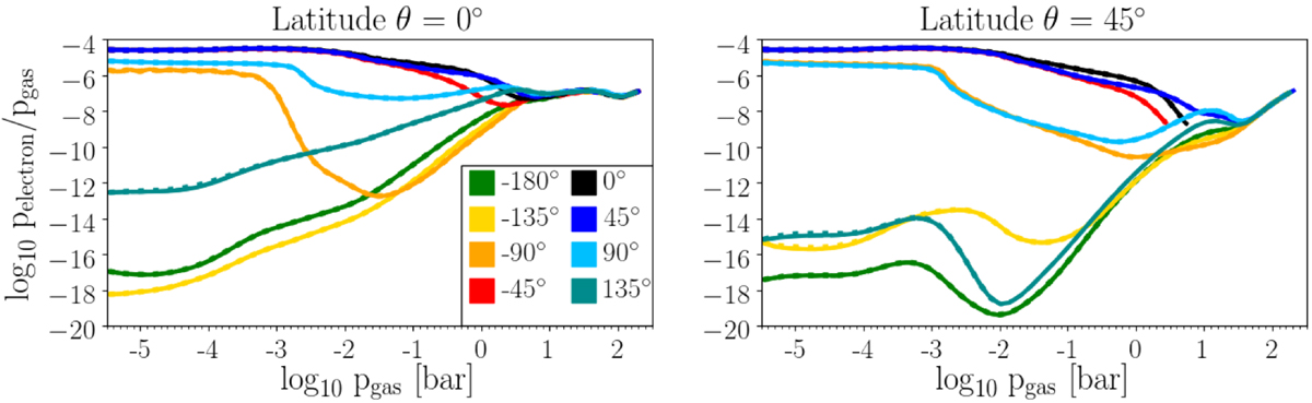
Fig. 9

image

WASP-18b dayside ionosphere as a result of a partially ionised gas in the atmosphere (ϕ = − 90°, −45°, 0°, 45°, and 90°): the degree of thermal ionisation from the day- to the nightside at the equator (left) and in the northern hemisphere (right) of WASP-18b. The ionosphere is stronger in the equatorial regions (θ = 0°) than in the northern hemisphere (θ = 45°).

Current usage metrics show cumulative count of Article Views (full-text article views including HTML views, PDF and ePub downloads, according to the available data) and Abstracts Views on Vision4Press platform.

Data correspond to usage on the plateform after 2015. The current usage metrics is available 48-96 hours after online publication and is updated daily on week days.

Initial download of the metrics may take a while.