Free Access

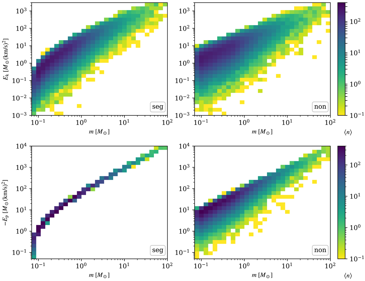
Fig. A.2.

image

Initial distribution of stellar kinetic energy (top panels) and potential energy (bottom panels) with respect to mass in the 9.2k model for both primordially mass-segregated and non-segregated clusters. The colour scale represents the mean number of stars based on ten realisations of this model.

Current usage metrics show cumulative count of Article Views (full-text article views including HTML views, PDF and ePub downloads, according to the available data) and Abstracts Views on Vision4Press platform.

Data correspond to usage on the plateform after 2015. The current usage metrics is available 48-96 hours after online publication and is updated daily on week days.

Initial download of the metrics may take a while.