Free Access

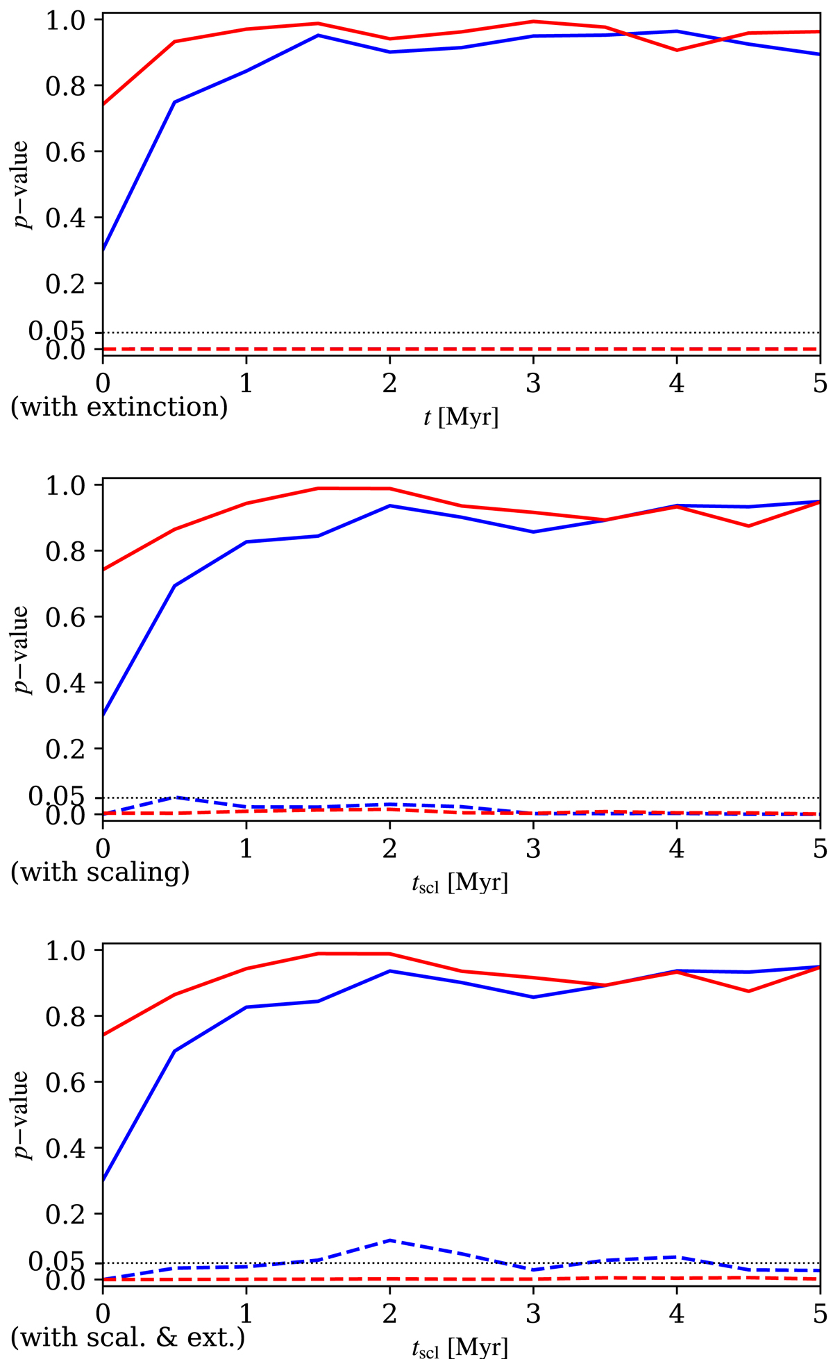
Fig. 8.

image

Same as in Fig. 7, but for the scaled model with artificial extinction (top panel), with scaling (middle panel), and with both scaling and extinction. When scaling is involved, time is given in the scaled units (tscl = stt), which are valid for all high- and low-mass stars above 0.5 pc.

Current usage metrics show cumulative count of Article Views (full-text article views including HTML views, PDF and ePub downloads, according to the available data) and Abstracts Views on Vision4Press platform.

Data correspond to usage on the plateform after 2015. The current usage metrics is available 48-96 hours after online publication and is updated daily on week days.

Initial download of the metrics may take a while.