Free Access

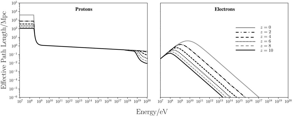
Fig. 2.

image

Interaction loss lengths accounting for all relevant processes (i.e. the solid line of Fig. 1), but calculated at redshifts of z = 0 − 10 as shown by the legend. Left: path lengths for protons; right: path lengths for electrons.

Current usage metrics show cumulative count of Article Views (full-text article views including HTML views, PDF and ePub downloads, according to the available data) and Abstracts Views on Vision4Press platform.

Data correspond to usage on the plateform after 2015. The current usage metrics is available 48-96 hours after online publication and is updated daily on week days.

Initial download of the metrics may take a while.