Free Access

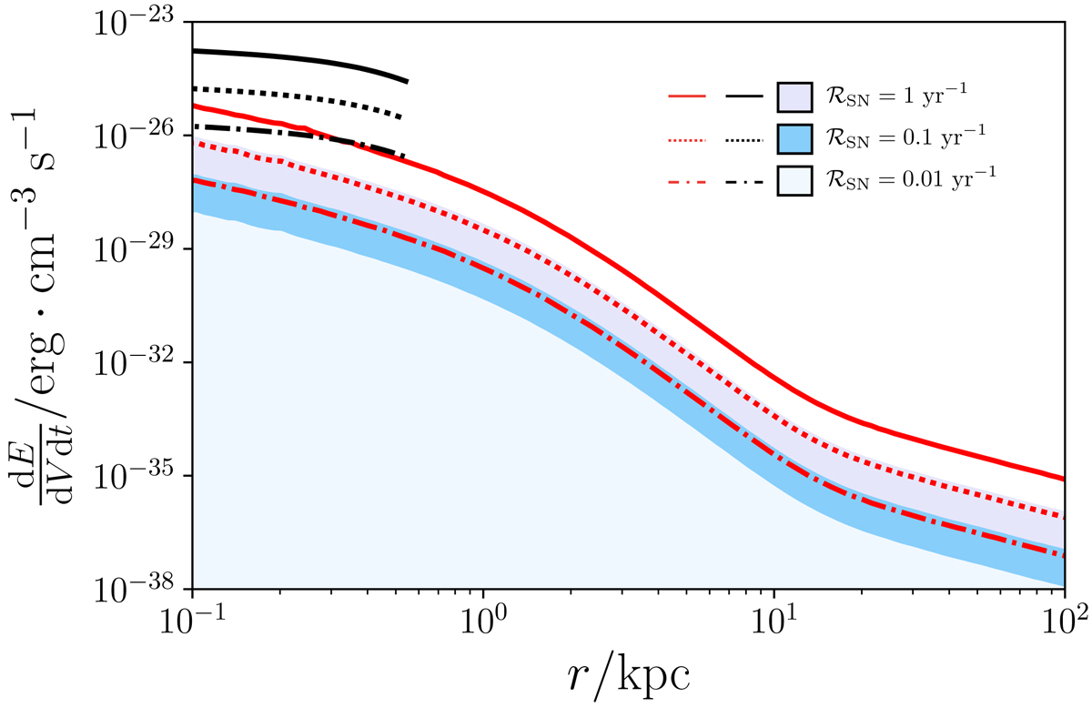
Fig. 5.

image

CR heating rates of the protogalaxy ISM by (1) direct Coulomb heating, in black, up to 0.6 kpc, and (2) indirect X-ray heating, in red. The solid lines are the results calculated for ℛSN = 1 yr−1, dotted lines for ℛSN = 0.1 yr−1 and dot-dashed for ℛSN = 0.01 yr−1. ℛSN determines the energy budget of the system, and so the CR heating power in both channels scales directly. The shaded regions show the stellar radiation “floor” for the IX process: any evolution that brings the IX line into this area will instead be dominated by the up-scattering of stellar-radiation by CR electrons, preventing the X-ray heating power from falling into this region. The lower region accounts for a stellar radiation field when ℛSN = 0.01 yr−1, the intermediate case above, for ℛSN = 0.1 yr−1, and the highest region arises for ℛSN = 1.0 yr−1. We note that the DC heating rate falls to negligible levels outside the protogalaxy (not shown) due to the magnetic containment of the CRs.

Current usage metrics show cumulative count of Article Views (full-text article views including HTML views, PDF and ePub downloads, according to the available data) and Abstracts Views on Vision4Press platform.

Data correspond to usage on the plateform after 2015. The current usage metrics is available 48-96 hours after online publication and is updated daily on week days.

Initial download of the metrics may take a while.