Free Access

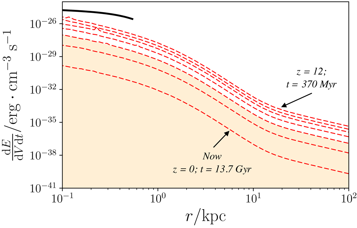
Fig. 6.

image

CR heating rates via the direct Coulomb (solid black lines) and indirect X-ray mechanisms (red dashed lines) for a protogalaxy with nb, 0 = 10 cm−3 and ℛSN = 0.1 yr−1 for redshifts z = 0, 2, 4, 6, 8, 10 and 12. The black DC lines (only one line is visible as they overlap) do not show any discernible evolution over this redshift range, but those for the IX effect show significant variation due to the evolving CMB. The central heating rate at z = 12 by both mechanisms is comparable at a level of around 10−25 erg cm−3 s−1. The shaded orange region represents the stellar radiation “floor” for the IX process: any redshift evolution that brings the IX line into this area (i.e. below z ≈ 4) will instead be dominated by the up-scattering of stellar-radiation, preventing the IX power from falling into this region. The DC heating power becomes negligible outside the protogalaxy (not shown).

Current usage metrics show cumulative count of Article Views (full-text article views including HTML views, PDF and ePub downloads, according to the available data) and Abstracts Views on Vision4Press platform.

Data correspond to usage on the plateform after 2015. The current usage metrics is available 48-96 hours after online publication and is updated daily on week days.

Initial download of the metrics may take a while.