Free Access

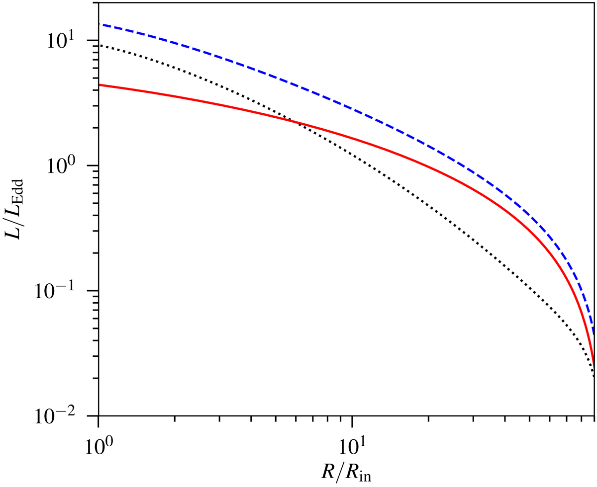
Fig. 10.

image

Cumulative luminosities as functions of radius. The total power generated in the disc is shown by the dashed blue curve. The solid red and dotted black curves show the radiative and advected luminosities, respectively. The parameters of the model are μ30 = 1 and 0 = 3000.

Current usage metrics show cumulative count of Article Views (full-text article views including HTML views, PDF and ePub downloads, according to the available data) and Abstracts Views on Vision4Press platform.

Data correspond to usage on the plateform after 2015. The current usage metrics is available 48-96 hours after online publication and is updated daily on week days.

Initial download of the metrics may take a while.