Free Access

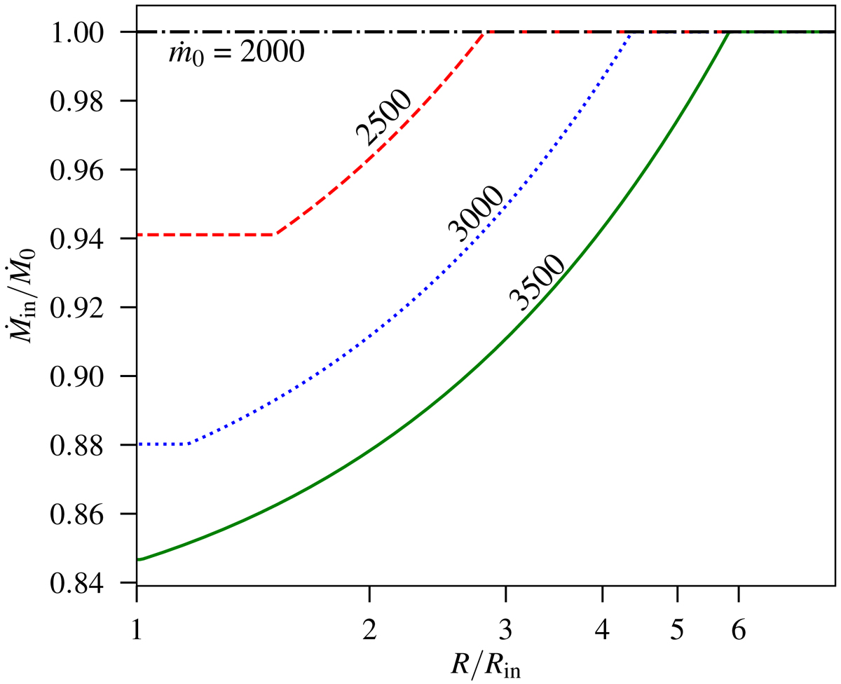
Fig. 11.

image

Fraction of the mass accretion rate reaching radius R for a NS with magnetic moment μ30 = 1. The lines from top to bottom correspond to different 0 in the interval 2000–3500 with steps of 500.

Current usage metrics show cumulative count of Article Views (full-text article views including HTML views, PDF and ePub downloads, according to the available data) and Abstracts Views on Vision4Press platform.

Data correspond to usage on the plateform after 2015. The current usage metrics is available 48-96 hours after online publication and is updated daily on week days.

Initial download of the metrics may take a while.