Free Access

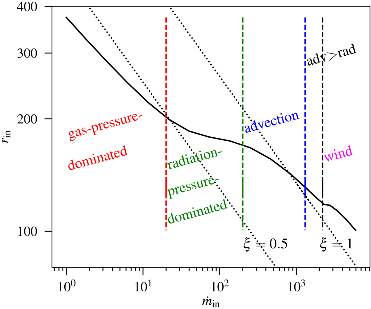
Fig. 12.

image

Magnetospheric radius in units of Rg as a function of the accretion rate for a NS with magnetic moment μ30 = 1. Parts of the black solid curve with different slopes correspond to the different regimes of accretion near the magnetospheric boundary. Two standard solutions () are plotted with the grey dotted lines: ξ = 0.5 and ξ = 1 (spherically symmetric case).

Current usage metrics show cumulative count of Article Views (full-text article views including HTML views, PDF and ePub downloads, according to the available data) and Abstracts Views on Vision4Press platform.

Data correspond to usage on the plateform after 2015. The current usage metrics is available 48-96 hours after online publication and is updated daily on week days.

Initial download of the metrics may take a while.