Free Access

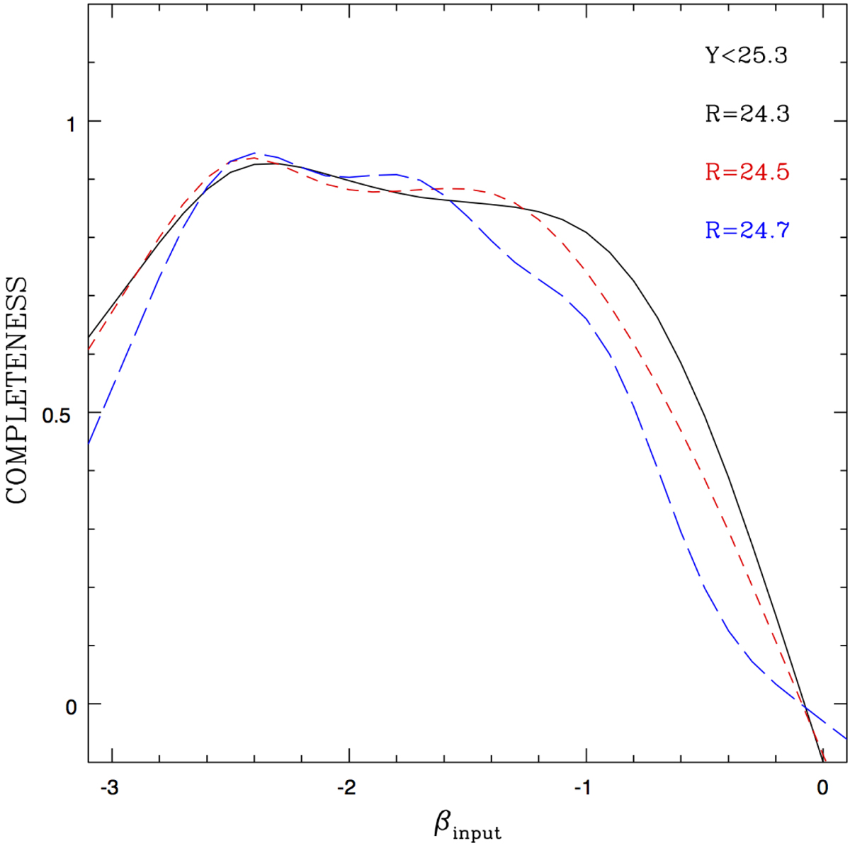
Fig. 3.

image

Detection completeness as a function of βinput as found from our Monte Carlo simulations for sources with Y <  25.3 in magnitude bins centred at mag R = 24.3, 24.5, 24.7 (black continuous line, red short-dashed line, and blue long-dashed line, respectively).

Current usage metrics show cumulative count of Article Views (full-text article views including HTML views, PDF and ePub downloads, according to the available data) and Abstracts Views on Vision4Press platform.

Data correspond to usage on the plateform after 2015. The current usage metrics is available 48-96 hours after online publication and is updated daily on week days.

Initial download of the metrics may take a while.