Free Access

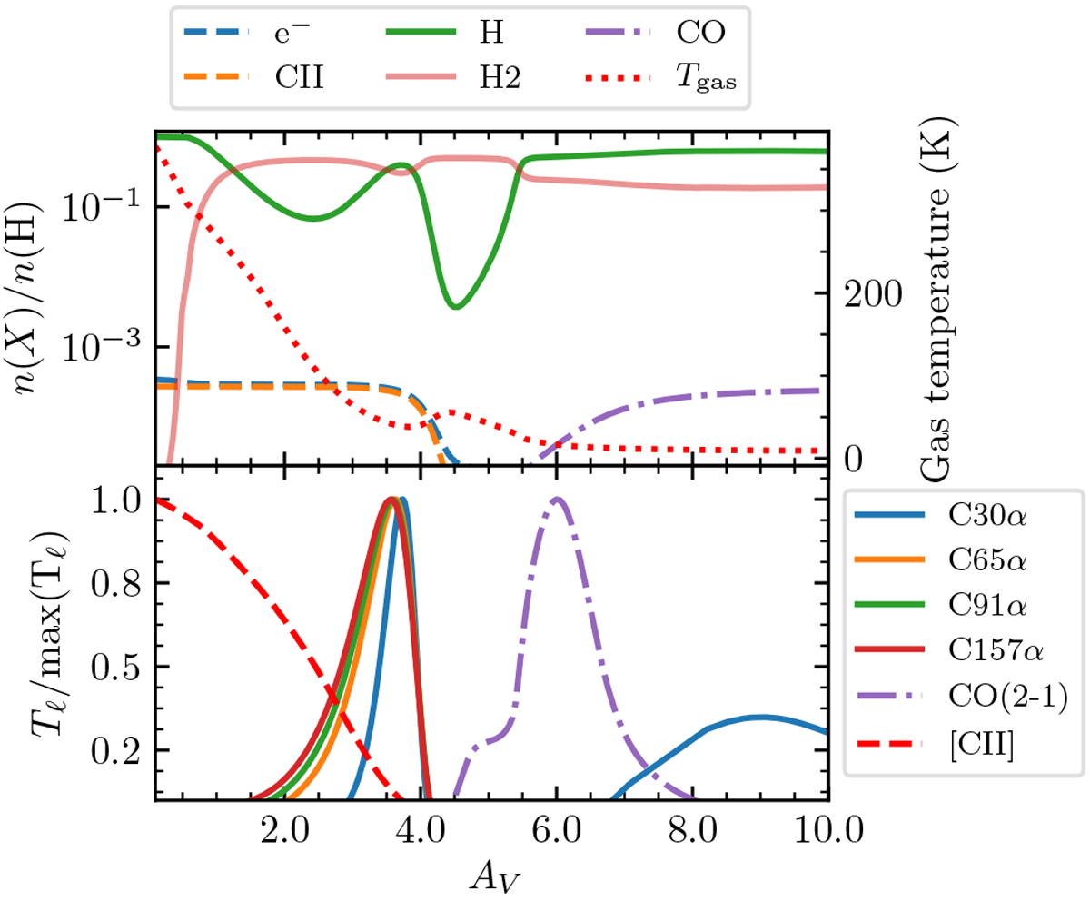
Fig. 12

image

Example of temperature and abundance profiles obtained with the Meudon PDR code. Top panel: gas temperature and abundances, while bottom panel: line brightness temperature of C lines with principal quantum numbers n = 30, 65, 91 and 157, and of the 158μm-[CII] line. The input conditions for the model are a radiation field of G0 = 1 × 104, in Mathis units, and a total gas density of nH = 1 × 104 cm−3. The difference between the abundance of free electrons and the abundance of ionized carbon is produced by the ionization of species such as sulfur or hydrogen.

Current usage metrics show cumulative count of Article Views (full-text article views including HTML views, PDF and ePub downloads, according to the available data) and Abstracts Views on Vision4Press platform.

Data correspond to usage on the plateform after 2015. The current usage metrics is available 48-96 hours after online publication and is updated daily on week days.

Initial download of the metrics may take a while.